
від "08" грудня 2023 року
Рішення сесії №1911-VIII Про затвердження порядку денного ХLV сесії Слобожанської селищної ради VІIІ скликання.
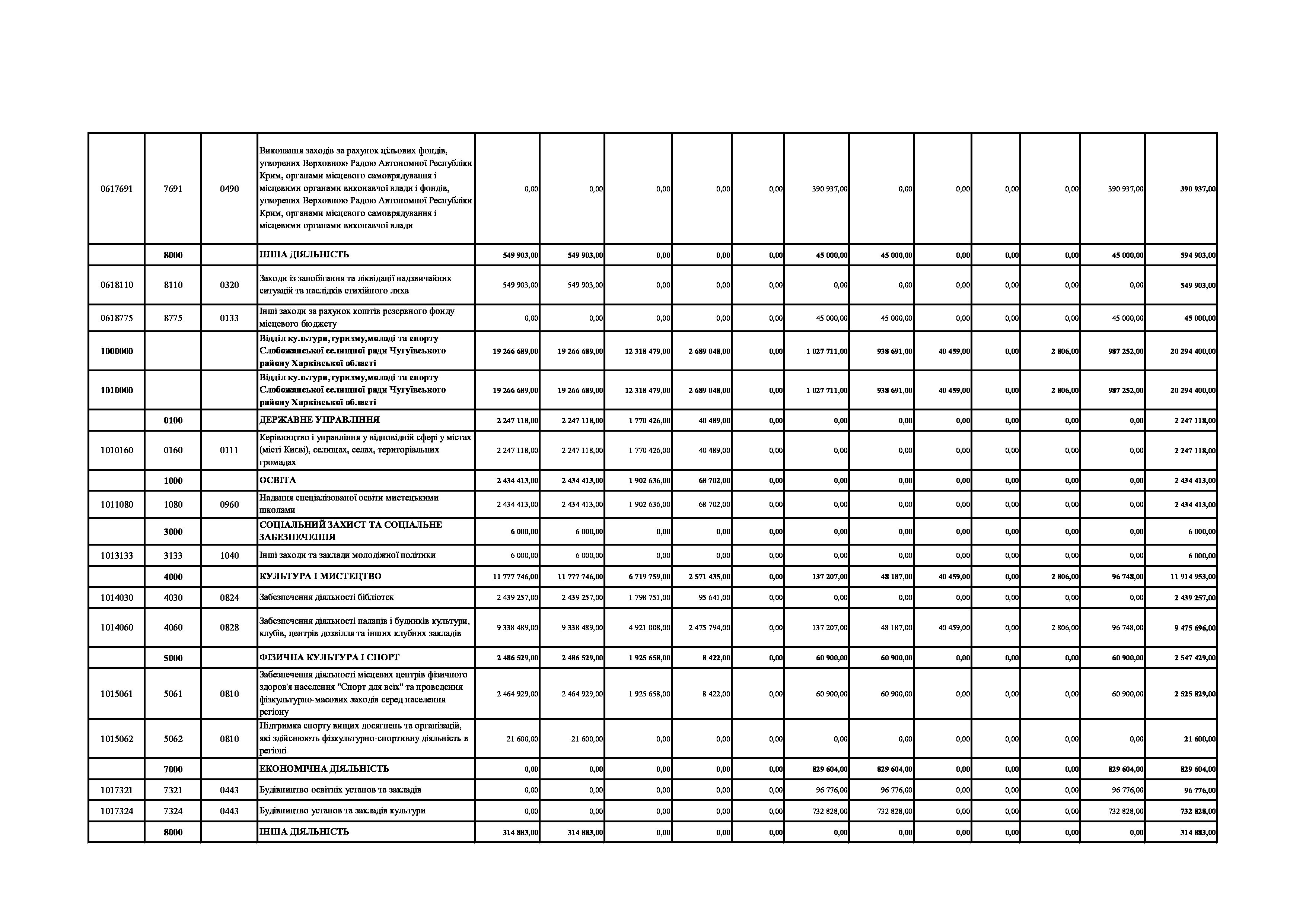
Рішення сесії №1912-VIII Про внесення змін до рішення ХХХ сесії VIІI скликання Слобожанської селищної ради від 23 грудня 2022 року №1392-VIІI «Про бюджет Слобожанської селищної територіальної громади на 2023 рік».
Рішення сесії №1913-VIII Про внесення змін до Заходів до Програми з оздоровлення та відпочинку дітей Слобожанської селищної ради на 2022 - 2025 роки.
Рішення сесії №1914-VIII Про внесення змін та доповнень до Заходів на 2023 рік до Програми розвитку охорони здоров’я на території Слобожанської селищної ради на 2021 - 2025 роки.
Рішення сесії №1915-VIII Про внесення змін до місцевої цільової Програми розвитку цивільного захисту Слобожанської селищної ради на 2021-2025 роки.
Рішення сесії №1916-VIII Про внесення змін та доповнень до заходів на 2023 рік до Програми підтримки підрозділів Збройних Сил України, Міністерства внутрішніх справ України, територіальної оборони, добровольчих та інших військових формувань Слобожанської селищної ради Чугуївського району Харківської області на 2023-2025 роки.
Рішення сесії №1917-VIII Про внесення змін та доповнень до Заходів на 2023 рік до Слобожанської селищної програми «Шкільний автобус» на 2021-2025 роки.
Рішення сесії №1918-VIII Про внесення змін та доповнень до Заходів на 2023 рік до Програми енергозбереження та благоустрою територій населених пунктів Слобожанської селищної ради на 2021-2025 роки.
Рішення сесії №1919-VIII Про внесення змін та доповнень до Заходів на 2023 рік до Програми фінансової підтримки комунальних підприємств Слобожанської селищної ради на 2021-2025 роки.
Рішення сесії №1920-VIII Про деякі питання оплати праці апарату Слобожанської селищної ради, її виконавчих органів та структурних підрозділів, які здійснюють свої повноваження на території Слобожанської селищної територіальної громади у штатному режимі.
Рішення сесії №1921-VIII Про затвердження Порядку про публічне громадське обговорення (консультації з громадськістю) на території Слобожанської селищної територіальної громади Чугуївського району Харківської області.
Рішення сесії №1922-VIII Про затвердження технічної документації із землеустрою щодо поділу земельної ділянки за кадастровим номером 6321755600:01:006:0066.
Рішення сесії №1923-VIII Про затвердження технічної документації з нормативної грошової оцінки земельної ділянки за кадастровим номером 6321755600:02:004:0123.
Рішення сесії №1924-VIII Про надання дозволу на виготовлення агрохімічних паспортів земельних ділянок комунальної власності.
Рішення сесії №1925-VIII Про подовження терміну дії договору оренди земельної ділянки за кадастровим номером 6321755600:01:005:0050.
Рішення сесії №1926-VIII Про звернення депутатів Слобожанської селищної ради VІII скликання.
Рішення сесії №1927-VIII Про припинення контракту з директором КНП «Слобожанська лікарня» Слобожанської селищної ради Чугуївського району Харківської області Василем ПЄНІНИМ.
Рішення сесії №1928-VIII Про звільнення директора Комунального закладу «Центр фізичного здоров’я населення «Спорт для всіх» Слобожанської селищної ради Чугуївського району Харківської області.
Рішення сесії №1929-VIII Про призначення директора Комунального закладу «Центр фізичного здоров’я населення «Спорт для всіх» Слобожанської селищної ради Чугуївського району Харківської області.






















