
від "21" грудня 2023 року
Рішенння сесії №1930-VIII Про затвердження порядку денного ХLVІ сесії Слобожанської селищної ради VІIІ скликання.
Рішенння сесії №1931-VIII Про внесення змін до рішення ХХХ сесії VIІI скликання Слобожанської селищної ради від 23 грудня 2022 року №1392-VIІI «Про бюджет Слобожанської селищної територіальної громади на 2023 рік».
Рішенння сесії №1932-VIII Про внесення змін до Заходів на 2023 рік до Програми забезпечення тимчасового розміщення та організації харчування внутрішньо переміщених осіб та/або евакуйованих осіб, які перемістилися на територію Слобожанської селищної територіальної громади після 24.02.2022 р., в закладах освіти Слобожанської селищної ради Чугуївського району Харківської області на 2022 – 2023 роки.
Рішенння сесії №1933-VIII Про внесення змін до Заходів на 2023 рік до Програми розвитку і реформування житлово-комунального господарства Слобожанської селищної ради на 2021-2025 роки.
Рішенння сесії №1934-VIII Про внесення змін та доповнень до заходів на 2023 рік до Програми підтримки підрозділів Збройних Сил України, Міністерства внутрішніх справ України, територіальної оборони, добровольчих та інших військових формувань Слобожанської селищної ради Чугуївського району Харківської області на 2023-2025 роки.
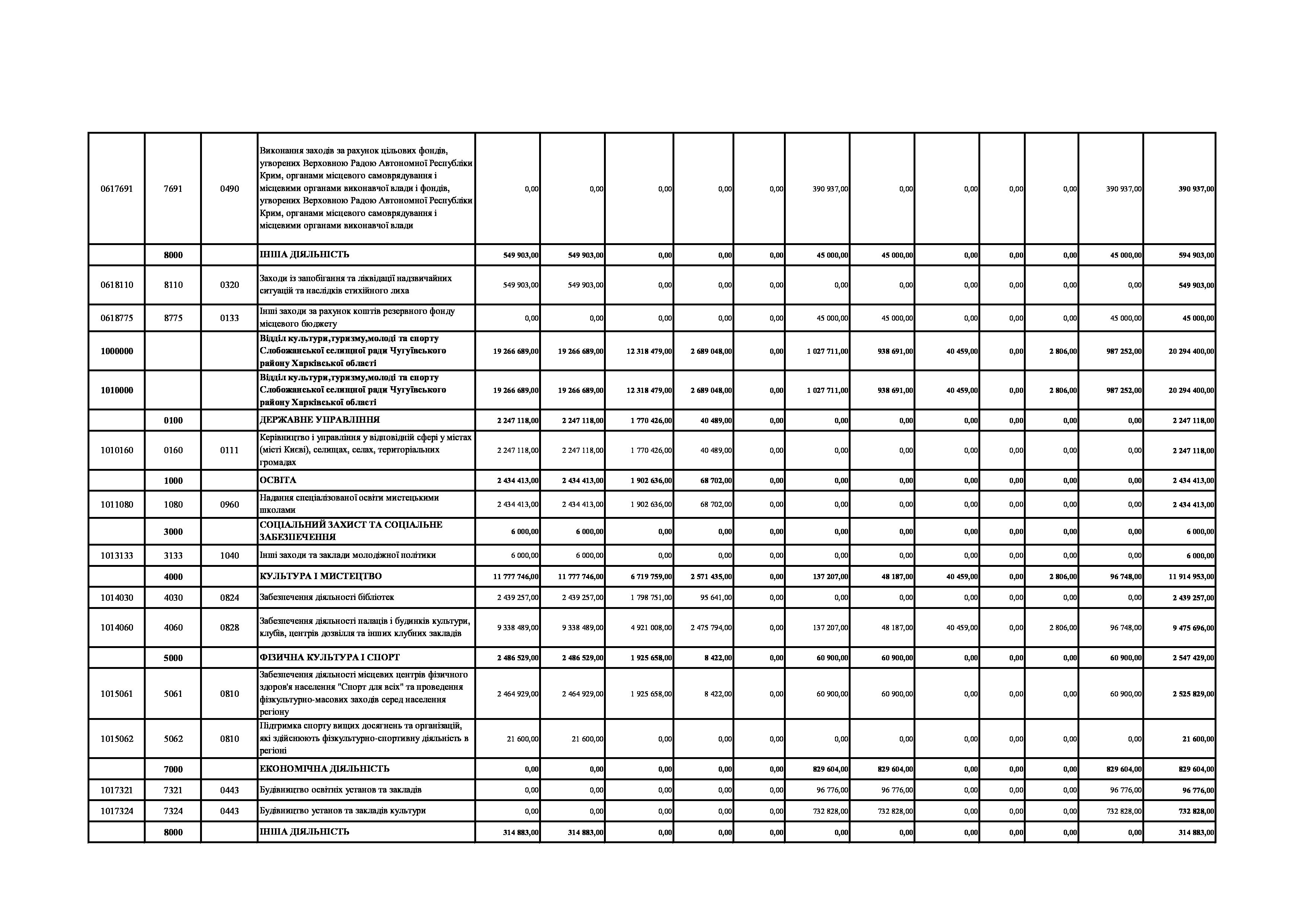
Рішенння сесії №1935-VIII Про бюджет Слобожанської селищної територіальної громади на 2024 рік.
Рішенння сесії №1936-VIII Про затвердження Заходів на 2024 рік до Програми розвитку охорони здоров’я на території Слобожанської селищної ради на 2021-2025 роки.
Рішенння сесії №1937-VIII Про затвердження Заходів на 2024 рік до Програми земельних відносин, раціонального використання та охорони земель по Слобожанській селищній раді на 2021-2025 роки.
Рішенння сесії №1938-VIII Про затвердження Заходів на 2024 рік до Програми енергозбереження та благоустрою територій населених пунктів Слобожанської селищної ради на 2021-2025 роки.
Рішенння сесії №1939-VIII Про затвердження Заходів на 2024 рік до Програми природоохоронних заходів Слобожанської селищної ради на 2021-2025 роки.
Рішенння сесії №1940-VIII Про затвердження Програми сприяння проведенню мобілізаційних заходів на території Слобожанської селищної територіальної громади Чугуївського району Харківської області на 2024 рік.
Рішенння сесії №1941-VIII Про затвердження Програми створення і використання місцевого матеріального резерву для запобігання і ліквідації наслідків надзвичайних ситуацій на території Слобожанської селищної територіальної громади на 2024 - 2026 роки».
Рішенння сесії №1942-VIII Про затвердження штатного розпису та штатної чисельності Комунальної установи «Центр надання соціальних послуг» Слобожанської селищної ради Чугуївського району Харківської області.
Рішенння сесії №1943-VIII Про надання Комунальною установою «Центр надання соціальних послуг» Слобожанської селищної ради Чугуївського району Харківської області під час дії в Україні надзвичайного або воєнного стану соціальних послуг за кошти селищного бюджету.
Рішенння сесії №1944-VIII Про затвердження тарифів на платні соціальні послуги, які надаються Комунальною установою «Центр надання соціальних послуг» Слобожанської селищної ради Чугуївського району Харківської області на 2024 рік.
Рішенння сесії №1945-VIII Про призначення на посаду та укладення контракту з директором КНП «Слобожанська лікарня» Слобожанської селищної ради Чугуївського району Харківської області.
Рішенння сесії №1946-VIII Про схвалення проєкту договору про співробітництво територіальних громад Слобожанської селищної ради та Зміївської міської ради.
Рішенння сесії №1947-VIII Про затвердження звіту про роботу спостережної ради при комунальному некомерційному підприємстві «Слобожанська лікарня» Слобожанської селищної ради Чугуївського району Харківської області на 2023 рік.
Рішенння сесії №1948-VIII Про визнання такими, що втратили чинність рішення XVIІ сесії Слобожанської селищної ради VIII скликання від 16.09.2021 року № 636 – VIII та рішення XVIІІ сесії Слобожанської селищної ради VIII скликання від 21.10.2021 року № 726 – VIII.
Рішенння сесії №1949-VIII Про затвердження звіту про списання майна комунальної власності Слобожанської селищної територіальної громади.
Рішенння сесії №1950-VIII Про безоплатне прийняття в комунальну власність Слобожанської селищної територіальної громади комп’ютерної (офісної) техніки, отриманої в рамках проекту міжнародної технічної допомоги PROSTO «Підтримка доступності послуг в Україні».
Рішенння сесії №1951-VIII Про безоплатне прийняття в комунальну власність Слобожанської селищної територіальної громади майна.
Рішенння сесії №1952-VIII Про продовження строкового трудового договору (контракту) з Гончаровою І.В. на посаді директора Слобожанського комунального закладу дошкільної освіти (ясла-садок) №4 Слобожанської селищної ради Чугуївського району Харківської області.
Рішенння сесії №1953-VIII Про продовження строкового трудового договору (контракту) з Дерегою І.В. на посаді директора Слобожанського комунального закладу дошкільної освіти (ясла-садок) №1 Слобожанської селищної ради Чугуївського району Харківської області.
Рішенння сесії №1954-VIII Про продовження строкового трудового договору (контракту) з Кліментьєвою О.О. на посаді директора Слобожанського комунального закладу дошкільної освіти (ясла-садок) №3 Слобожанської селищної ради Чугуївського району Харківської області.
Рішенння сесії №1955-VIII Про продовження строкового трудового договору (контракту) з Кравченко С.О. на посаді директора Слобожанського комунального закладу дошкільної освіти (ясла-садок) №7 «Колосок» Слобожанської селищної ради Чугуївського району Харківської області.
Рішенння сесії №1956-VIII Про продовження строкового трудового договору (контракту) з Онищук О.І. на посаді директора Комунального закладу дошкільної освіти (ясла-садок) селища Донець Слобожанської селищної ради Чугуївського району Харківської області.
Рішенння сесії №1957-VIII Про продовження строкового трудового договору (контракту) з Павленко Т.В. на посаді директора Комунального закладу дошкільної освіти (ясла - садок) «Веселка» с. Шелудьківка Слобожанської селищної ради Чугуївського району Харківської області.
Рішенння сесії №1958-VIII Про продовження строкового трудового договору (контракту) з Шрамко С.С. на посаді директора Комунального закладу дошкільної освіти (ясла-садок) «Казка» с. Лиман Слобожанської селищної ради Чугуївського району Харківської області.
Рішенння сесії №1959-VIII Про передачу вогнегасників КП КЗ «Слобожанський селищний Палац Культури».
Рішенння сесії №1960-VIII Про передачу вогнегасників відділу освіти Слобожанської селищної ради.
Рішенння сесії №1961-VIII Про передачу вогнегасників відділу культури, туризму, молоді та спорту Слобожанської селищної ради.
Рішенння сесії №1962-VIII Про надання дозволу на укладання договору позички.
Рішенння сесії №1963-VIII Про затвердження штатного розпису комунальної установи «Місцева пожежна охорона Слобожанської селищної ради Чугуївського району Харківської області».
Рішенння сесії №1964-VIII Про результати діяльності прокуратури на території Чугуївського району.
Рішенння сесії №1965-VIII Про передачу земельної ділянки у приватну власність гр. СТИСЛУ Олександру Богдановичу.
Рішенння сесії №1966-VIII Про передачу земельної ділянки у приватну власність гр. ГУНЬКУ Миколі Івановичу.
Рішенння сесії №1967-VIII Про передачу земельної ділянки у приватну власність гр. ВОСКОБОЙНИКУ Павлу Івановичу.
Рішенння сесії №1968-VIII Про передачу земельної ділянки у приватну власність гр. ГОНЧАРОВІЙ Ользі Іванівні.
Рішенння сесії №1969-VIII Про передачу земельної ділянки у приватну власність гр. КРАВЧЕНКУ Євгену Анатолійовичу.
Рішенння сесії №1970-VIII Про передачу земельної ділянки у приватну власність гр. ПАВЛОВІЙ Любові Тимофіївні.
Рішенння сесії №1971-VIII Про передачу земельної ділянки у приватну власність гр. КРАВЧЕНКУ Анатолію Григоровичу.
Рішенння сесії №1972-VIII Про передачу земельної ділянки у приватну власність гр. МАМЦЕВІЙ Галині Олександрівні.
Рішенння сесії №1973-VIII Про укладення договору оренди земельної ділянки за кадастровим номером 6321755600:01:006:0044 на новий строк.
Рішенння сесії №1974-VIII Про припинення договору оренди земельної ділянки за кадастровим номером 321784500:02:000:2802.
Рішенння сесії №1975-VIII Про розробку проекту землеустрою зі зміною цільового призначення земельної ділянки за кадастровим номером 6321784501:01:003:0180.
Рішенння сесії №1976-VIII Про погодження технічної документації із землеустрою щодо встановлення меж частини земельної ділянки на яку поширюється право суборенди за кадастровим номером 6321755600:01:008:0001.
Рішенння сесії №1977-VIII Про затвердження Заходів на 2024 рік до Програми соціального захисту населення Слобожанської селищної ради на 2021 – 2025 роки.
Рішенння сесії №1978-VIII Про безоплатне прийняття в комунальну власність Слобожанської селищної територіальної громади системи зберігання енергії (з системою контролю джерела струму).
Рішенння сесії №1979-VIII Про службове відрядження.






















