
від "19" жовтня 2023 року
Рішення сесії №1808 Про затвердження порядку денного ХLІІІ сесії Слобожанської селищної ради VІIІ скликання.
Рішення сесії №1809 Про визначення повноважень депутата Слобожанської селищної ради VІІІ скликання.
Рішення сесії №1810 Про внесення змін до рішення І сесії Слобожанської селищної ради VІІI скликання від 01.12.2020 року №6 - VІІI «Про затвердження складу постійних депутатських комісій селищної ради та голів цих комісій».
Рішення сесії №1811 Про затвердження звіту «Про виконання бюджету Слобожанської селищної територіальної громади за 9 місяців 2023 року».
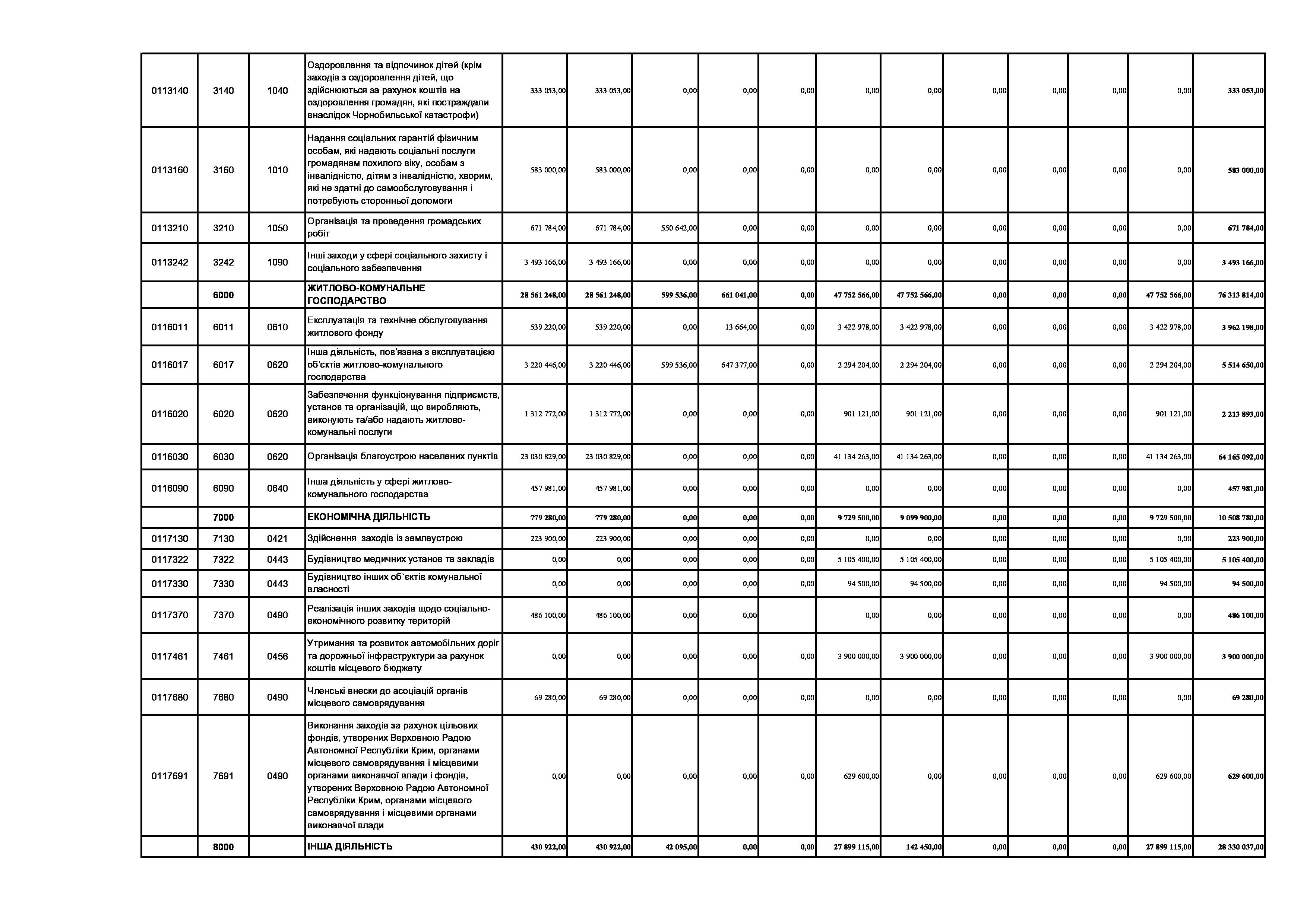
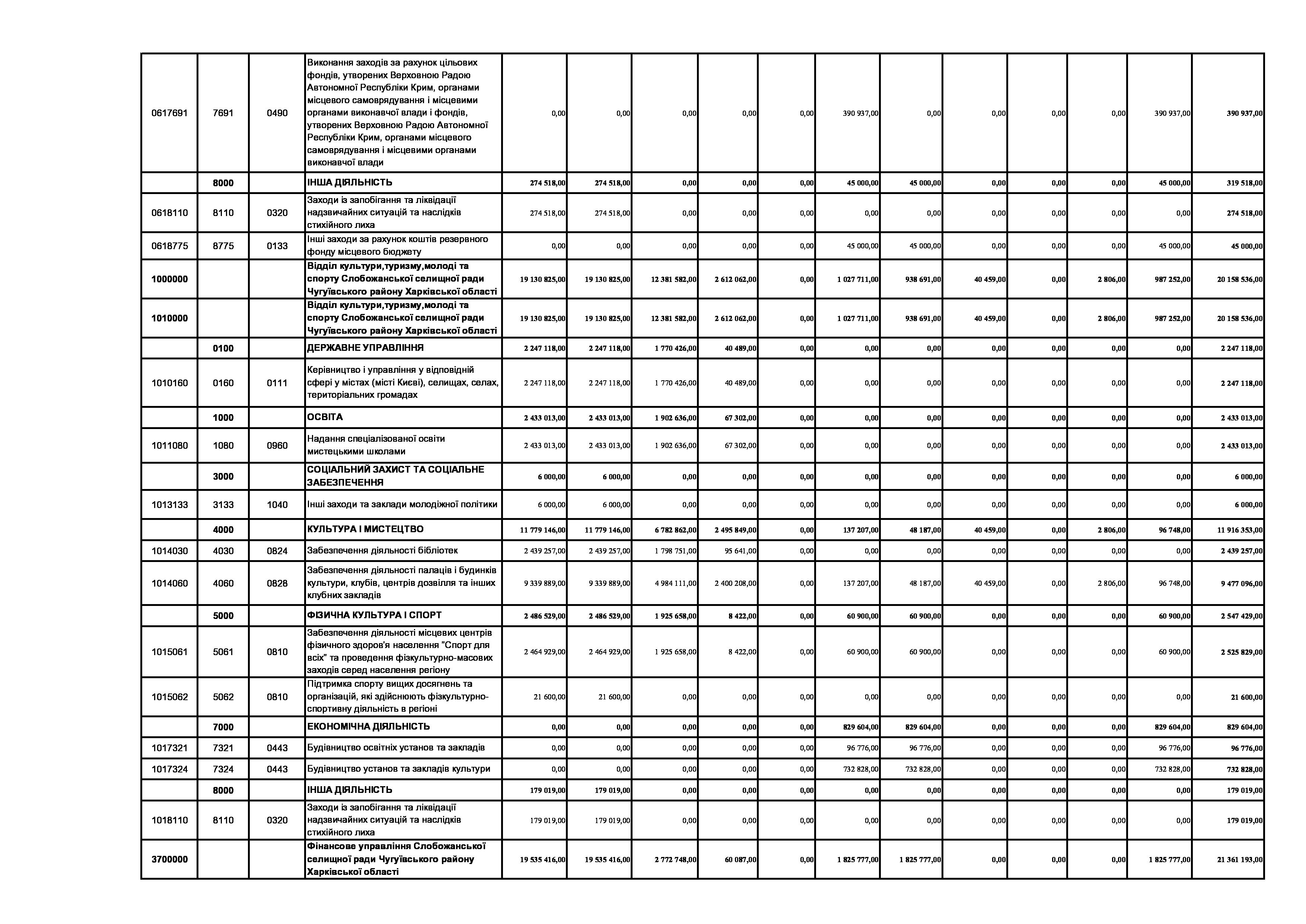
Рішення сесії №1812 Про внесення змін до рішення ХХХ сесії VIІI скликання Слобожанської селищної ради від 23 грудня 2022 року №1392-VIІI «Про бюджет Слобожанської селищної територіальної громади на 2023 рік».
Рішення сесії №1813 Про внесення змін та доповнень до Заходів на 2023 рік до Програми розвитку охорони здоров’я на території Слобожанської селищної ради на 2021 - 2025 роки.
Рішення сесії №1814 Про затвердження комплексної Програми «Молодь Слобожанської громади» на 2024-2025 роки.
Рішення сесії №1815 Про внесення змін та доповнень до Заходів на 2023 рік до Програми розвитку місцевого самоврядування Слобожанської селищної ради на 2021-2025 роки.
Рішення сесії №1816 Про внесення змін до місцевої цільової Програми розвитку цивільного захисту Слобожанської селищної ради на 2021-2025 роки.
Рішення сесії №1817 Про внесення змін до Комплексної Програми профілактики правопорушень, злочинності та сприяння діяльності правоохоронних органів на території Слобожанської селищної територіальної громади на 2022-2025 роки.
Рішення сесії №1818 Про внесення змін та доповнень до заходів на 2023 рік до Програми підтримки підрозділів Збройних Сил України, Міністерства внутрішніх справ України, територіальної оборони, добровольчих та інших військових формувань Слобожанської селищної ради Чугуївського району Харківської області на 2023 – 2025 роки.
Рішення сесії №1819 Про внесення змін та доповнень до Заходів на 2023 рік до Програми розвитку і реформування житлово-комунального господарства Слобожанської селищної ради на 2021-2025 роки.
Рішення сесії №1820 Про внесення змін та доповнень до Заходів на 2023 рік до Програми енергозбереження та благоустрою територій населених пунктів Слобожанської селищної ради на 2021-2025 роки.
Рішення сесії №1821 Про внесення змін та доповнень до Заходів на 2023 рік до Програми фінансової підтримки комунальних підприємств Слобожанської селищної ради на 2021-2025 роки.
Рішення сесії №1822 Про внесення змін та доповнень до рішення Слобожанської селищної ради Чугуївського району Харківської області ХХVІІІ сесії VІІІ скликання від 18 листопада 2022 року № 1364- VІІІ «Про затвердження плану діяльності з підготовки проєктів регуляторних актів Слобожанської селищної ради на 2023 рік».
Рішення сесії №1823 Про передачу комунального майна КУ «Центр надання соціальних послуг».
Рішення сесії №1824 Про передачу комунального майна КП КЗ «Слобожанський селищний Палац Культури».
Рішення сесії №1825 Про прийняття в комунальну власність Слобожанської селищної територіальної громади транспортних засобів.
Рішення сесії №1826 Про прийняття в комунальну власність Слобожанської селищної територіальної громади ноутбуків.
Рішення сесії №1827 Про прийняття у комунальну власність Слобожанської селищної територіальної громади житлового будинку №1 по вулиці Комишувата в селі Лиман Чугуївського району Харківської області відумерлої спадщини.
Рішення сесії №1828 Про надання згоди на прийняття зі спільної власності територіальних громад сіл, селищ, міст Харківської області до комунальної власності Слобожанської селищної територіальної громади двох мультифункціональних спортивних майданчика у рамках реалізації проекту «Здорова Україна».
Рішення сесії №1829 Про внесення змін до Переліку об’єктів комунальної власності Слобожанської селищної територіальної громади, затвердженого рішенням XIX сесії Слобожанської селищної ради VIII скликання від 25.11.2021р. №828- VIII (зі змінами внесеними рішенням XXI сесії VIII від 23.12. 2021 р. №1033- VIII та рішенням XXXII сесії VIII скликання від 21.02.2023р. №1484- VIII).
Рішення сесії №1830 Про передачу земельної ділянки у приватну власність гр. Янушкевич Ірині Ерленівна.
Рішення сесії №1831 Про передачу земельної ділянки у приватну власність гр. Десятник Олені Олександрівні та гр. Десятнику Роману Миколайовичу.
Рішення сесії №1832 Про передачу земельної ділянки у приватну власність гр. Слюсареву Івану Миколайовичу.
Рішення сесії №1833 Про передачу земельної ділянки у приватну власність гр. Павловій Лідії Григорівні.
Рішення сесії №1834 Про передачу земельної ділянки у приватну власність гр. Семеніхіну Руслану Віталійовичу.
Рішення сесії №1835 Про затвердження проекту землеустрою щодо зміни цільового призначення земельної ділянки гр. Коліснику Віталію Григоровичу.
Рішення сесії №1836 Про розгляд клопотання гр. Чеботарьової Раїсі Петрівні.
Рішення сесії №1837 Про розгляд заяви гр. Куліш Наталії Петрівні.
Рішення сесії №1838 Про інвентаризацію земель комунальної власності під закладами освіти.
Рішення сесії №1839 Про припинення договору оренди земельної ділянки за кадастровим номером 6321784500:01:000:0300.
Рішення сесії №1840 Про передачу земельної ділянки за кадастровим номером 6321784500:01:000:0300 в оренду ТОВ «ЮТК».
Рішення сесії №1841 Про затвердження документації із землеустрою щодо поділу земельної ділянки за кадастровим номером 6321784501:01:003:0045.
Рішення сесії №1842 Про укладення договору оренди земельної ділянки за кадастровим номером 6321783004:01:002:0194 на новий строк.
Рішення сесії №1843 Про укладення договору оренди земельної ділянки за кадастровим номером 6321783000:01:000:0980 на новий строк.
Рішення сесії №1844 Про укладення договору оренди земельної ділянки за кадастровим номером 6321783000:01:000:0979 на новий строк.
Рішення сесії №1845 Про передачу комунального майна КУ «Місцева пожежна охорона Слобожанської селищної ради Чугуївського району Харківської області».
Рішення сесії №1846 Про надання згоди на передачу матеріальних цінностей.
Рішення сесії №1847 Про затвердження Меморандуму про партнерство від 03.07.2023 № КК-12.
Рішення сесії №1848 Про затвердження Угоди про наміри між Слобожанською селищною радою Чугуївського району Харківської області та DAI Global LLC, щодо Проекту USAID «Підвищення ефективності роботи і підзвітності органів місцевого самоврядування («ГОВЕРЛА»).
Рішення сесії №1849 Про внесення змін до Заходів до Програми з оздоровлення та відпочинку дітей Слобожанської селищної ради на 2022 - 2025 роки.
Рішення сесії №1850 Про внесення змін до Заходів на 2023 рік до Програми соціального захисту населення Слобожанської селищної ради на 2021-2025 роки.
Рішення сесії №1851 Про внесення змін та доповнень до Заходів на 2023 рік до Програми природоохоронних заходів Слобожанської селищної ради на 2021-2025 роки.






















