
від "21" квітня 2023 року
Рішення сесії №1533-VIII Про затвердження порядку денного ХХХV сесії Слобожанської селищної ради VІIІ скликання.
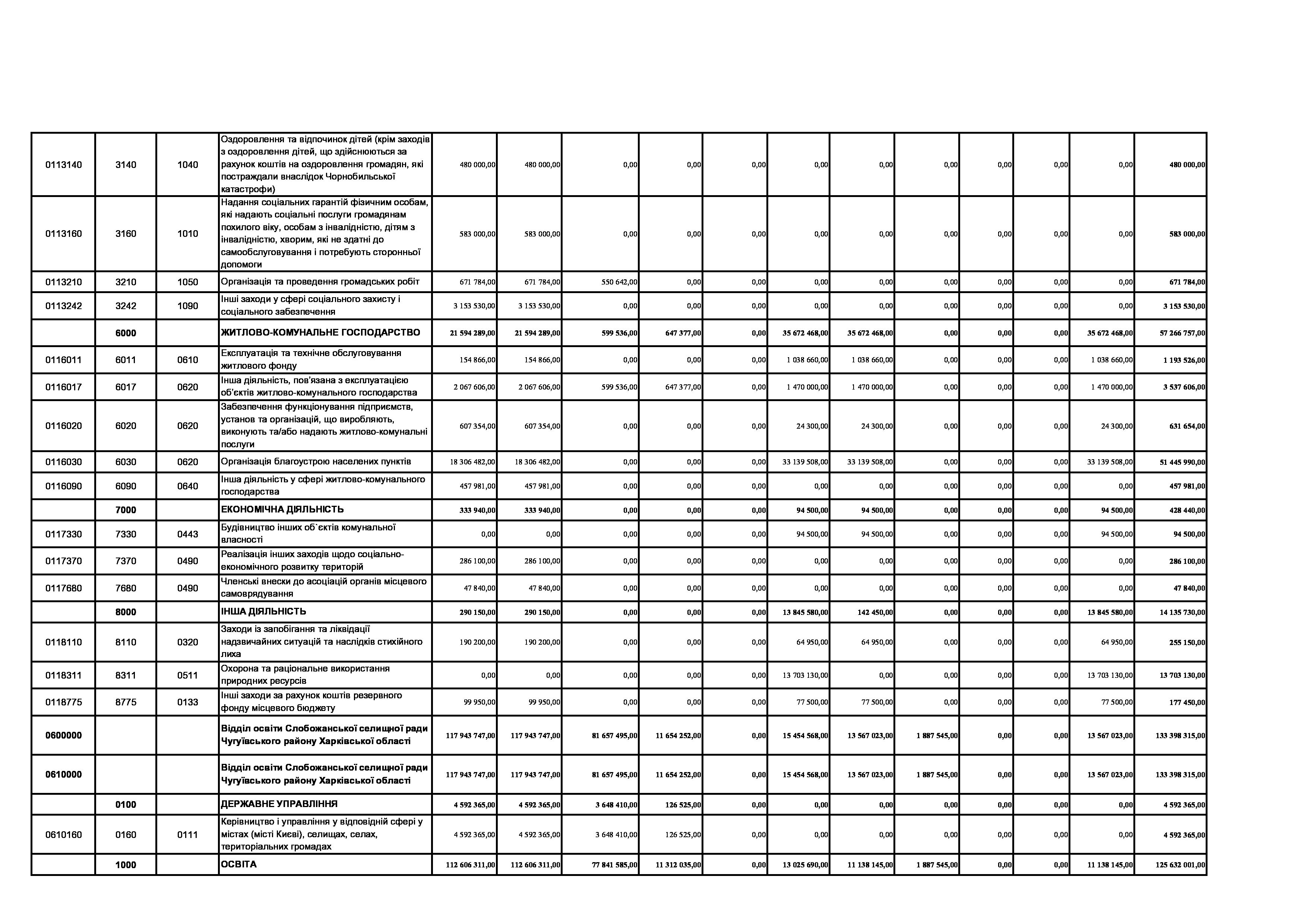
Рішення сесії №1534-VIII Про затвердження звіту «Про виконання бюджету Слобожанської селищної територіальної громади за І квартал 2023 року».
Рішення сесії №1535-VIII Про внесення змін до рішення ХХХ сесії VIІI скликання Слобожанської селищної ради від 23 грудня 2022 року №1392-VIІI «Про бюджет Слобожанської селищної територіальної громади на 2023 рік».
Рішення сесії №1536-VIII Про внесення змін та доповнень до заходів на 2023 рік до Програми підтримки підрозділів Збройних Сил України, Міністерства внутрішніх справ України, територіальної оборони, добровольчих та інших військових формувань Слобожанської селищної ради Чугуївського району Харківської області на 2023-2025 рік.
Рішення сесії №1537-VIII Про внесення змін до Програми створення та використання місцевого матеріального резерву для запобігання і ліквідації наслідків надзвичайних ситуацій на території Слобожанської селищної ради на 2021 – 2023 роки.
Рішення сесії №1538-VIII Про внесення змін до місцевої цільової Програми розвитку цивільного захисту Слобожанської селищної ради на 2021-2025 роки.
Рішення сесії №1539-VIII Про внесення змін до рішення ХХV сесії VIІI скликання «Про затвердження Програми забезпечення тимчасового розміщення та організації харчування внутрішньо переміщених осіб та/або евакуйованих осіб, які перемістилися на територію Слобожанської селищної територіальної громади після 24.02.2022 р., в закладах освіти Слобожанської селищної ради Чугуївського району Харківської області на 2022 -2023 роки» від 12 серпня 2022 року № 1279 – VIІI.
Рішення сесії №1540-VIII Про внесення змін та доповнень до Заходів на 2023 рік до Програми розвитку охорони здоров’я на території Слобожанської селищної ради на 2021 - 2025 роки.
Рішення сесії №1541-VIII Про внесення змін до Заходів на 2023 рік до комплексної Програми розвитку освітянської галузі Слобожанської селищної ради на 2021-2025 роки.
Рішення сесії №1542-VIII Про внесення змін та доповнень до Заходів на 2023 рік до Програми розвитку місцевого самоврядування Слобожанської селищної ради на 2021 – 2025 роки.
Рішення сесії №1543-VIII Про внесення змін та доповнень до Заходів на 2023 рік до Програми енергозбереження та благоустрою територій населених пунктів Слобожанської селищної ради на 2021-2025 роки.
Рішення сесії №1544-VIII Про внесення змін та доповнень до Заходів на 2023 рік до Програми фінансової підтримки комунальних підприємств Слобожанської селищної ради на 2021-2025 роки.
Рішення сесії №1545-VIII Про внесення змін та доповнень до Заходів на 2023 рік до Програми розвитку і реформування житлово-комунального господарства Слобожанської селищної ради на 2021-2025 роки.
Рішення сесії №1546-VIII Про внесення змін до штатного розпису комунального підприємства «Комунальник» з 01 квітня 2023 року.
Рішення сесії №1547-VIII Про внесення змін до Положення про порядок преміювання та надання матеріальної допомоги працівникам трудового колективу Слобожанської селищної ради.
Рішення сесії №1548-VIII Про передачу комунального майна Відділу освіти Слобожанської селищної ради.
Рішення сесії №1549-VIII Про передачу комунального майна КЗ дошкільної освіти (ясла-садок) селища Донець.
Рішення сесії №1550-VIII Про передачу комунального майна на баланс КП «Донець».
Рішення сесії №1551-VIII Про затвердження технічної документації із землеустрою щодо встановлення (відновлення) меж земельної ділянки в натурі (на місцевості) для будівництва і обслуговування житлового будинку, господарських будівель і споруд гр. Гірічевій Аллі Василівні.
Рішення сесії №1552-VIII Про затвердження технічної документації із землеустрою щодо встановлення (відновлення) меж земельної ділянки в натурі (на місцевості) для будівництва і обслуговування житлового будинку, господарських будівель і споруд гр. Зубу Олександру Павловичу.
Рішення сесії №1553-VIII Про затвердження технічної документації із землеустрою щодо встановлення (відновлення) меж земельної ділянки в натурі (на місцевості) для будівництва і обслуговування житлового будинку, господарських будівель і споруд гр. Хіль Людмилі Іванівні.
Рішення сесії №1554-VIII Про затвердження технічної документації із землеустрою щодо встановлення (відновлення) меж земельної ділянки в натурі (на місцевості) для будівництва і обслуговування житлового будинку, господарських будівель і споруд гр. Гордієнку Олексію Яковичу.
Рішення сесії №1555-VIII Про затвердження технічної документації із землеустрою щодо встановлення (відновлення) меж земельної ділянки в натурі (на місцевості) для будівництва і обслуговування житлового будинку, господарських будівель і споруд гр. Литвиненку В’ячеславу Михайловичу.
Рішення сесії №1556-VIII Про затвердження технічної документації із землеустрою щодо встановлення (відновлення) меж земельної ділянки в натурі (на місцевості) для будівництва і обслуговування житлового будинку, господарських будівель і споруд гр. Черепасі Ользі Павлівні.
Рішення сесії №1557-VIII Про затвердження технічної документації із землеустрою щодо встановлення (відновлення) меж земельної ділянки в натурі (на місцевості) для будівництва і обслуговування житлового будинку, господарських будівель і споруд гр. Лисаку Віталію Вікторовичу.
Рішення сесії №1558-VIII Про затвердження технічної документації із землеустрою щодо встановлення (відновлення) меж земельної ділянки в натурі (на місцевості) для будівництва і обслуговування житлового будинку, господарських будівель і споруд гр.Колосовській Ніні Іванівні.
Рішення сесії №1559-VIII Про затвердження технічної документації із землеустрою щодо встановлення (відновлення) меж земельної ділянки в натурі (на місцевості) для будівництва і обслуговування житлового будинку, господарських будівель і споруд гр. Клименку Володимиру Олексійовичу.
Рішення сесії №1560-VIII Про затвердження технічної документації із землеустрою щодо встановлення (відновлення) меж земельної ділянки в натурі (на місцевості) для будівництва і обслуговування житлового будинку, господарських будівель і споруд гр.Омельченку Віктору Петровичу.
Рішення сесії №1561-VIII Про затвердження технічної документації із землеустрою щодо встановлення (відновлення) меж земельної ділянки в натурі (на місцевості) для будівництва і обслуговування житлового будинку, господарських будівель і споруд гр.Цвіркуну Олександру Миколайовичу.
Рішення сесії №1562-VIII Про затвердження технічної документації із землеустрою щодо встановлення (відновлення) меж земельної ділянки в натурі (на місцевості) для будівництва і обслуговування житлового будинку, господарських будівель і споруд гр.Чернишовій Наталії Миколаївні.
Рішення сесії №1563-VIII Про затвердження проекту землеустрою щодо відведення земельної ділянки для розміщення та експлуатації об’єктів і споруд електронних комунікацій та передачу в оренду земельної ділянки ТОВ «ЛАЙФСЕЛЛ».
Рішення сесії №1564-VIII Про надання дозволу на укладання тристоронньої додаткової угоди до Договору оренди земельної ділянки за кадастровим номером 6321784500:02:000:2799.
Рішення сесії №1565-VIII Про надання дозволу на укладання тристоронньої додаткової угоди до Договору оренди земельної ділянки за кадастровим номером 6321784500:02:000:2800.
Рішення сесії №1566-VIII Про надання дозволу на укладання тристоронньої додаткової угоди до Договору оренди земельної ділянки за кадастровим номером 6321784500:02:000:2798.
Рішення сесії №1567-VIII Про затвердження проекту землеустрою щодо відведення земельних ділянок у постійне користування для розміщення, будівництва, експлуатації та обслуговування будівель і споруд об’єктів передачі електричної та теплової енергії.
Рішення сесії №1568-VIII Про затвердження проекту землеустрою щодо відведення земельних ділянок у постійне користування для розміщення, будівництва, експлуатації та обслуговування будівель і споруд об’єктів передачі електричної та теплової енергії.
Рішення сесії №1569-VIII Про затвердження проекту землеустрою щодо відведення земельних ділянок у постійне користування для розміщення, будівництва, експлуатації та обслуговування будівель і споруд об’єктів передачі електричної та теплової енергії.
Рішення сесії №1570-VIII Про розгляд заяви ФО-П Зимового Михайла Вікторовича.
Рішення сесії №1571-VIII Про укладення договору оренди земельної ділянки за кадастровим номером 6321755600:02:004:0004.
Рішення сесії №1572-VIII Про надання гр. Русіну І.М. дозволу на викуп земельної ділянки для ведення фермерського господарства.






















