
від "07" березня 2023 року
Рішення сесії №1496-VIII Про затвердження порядку денного ХХХІІІ сесії Слобожанської селищної ради VІIІ скликання.
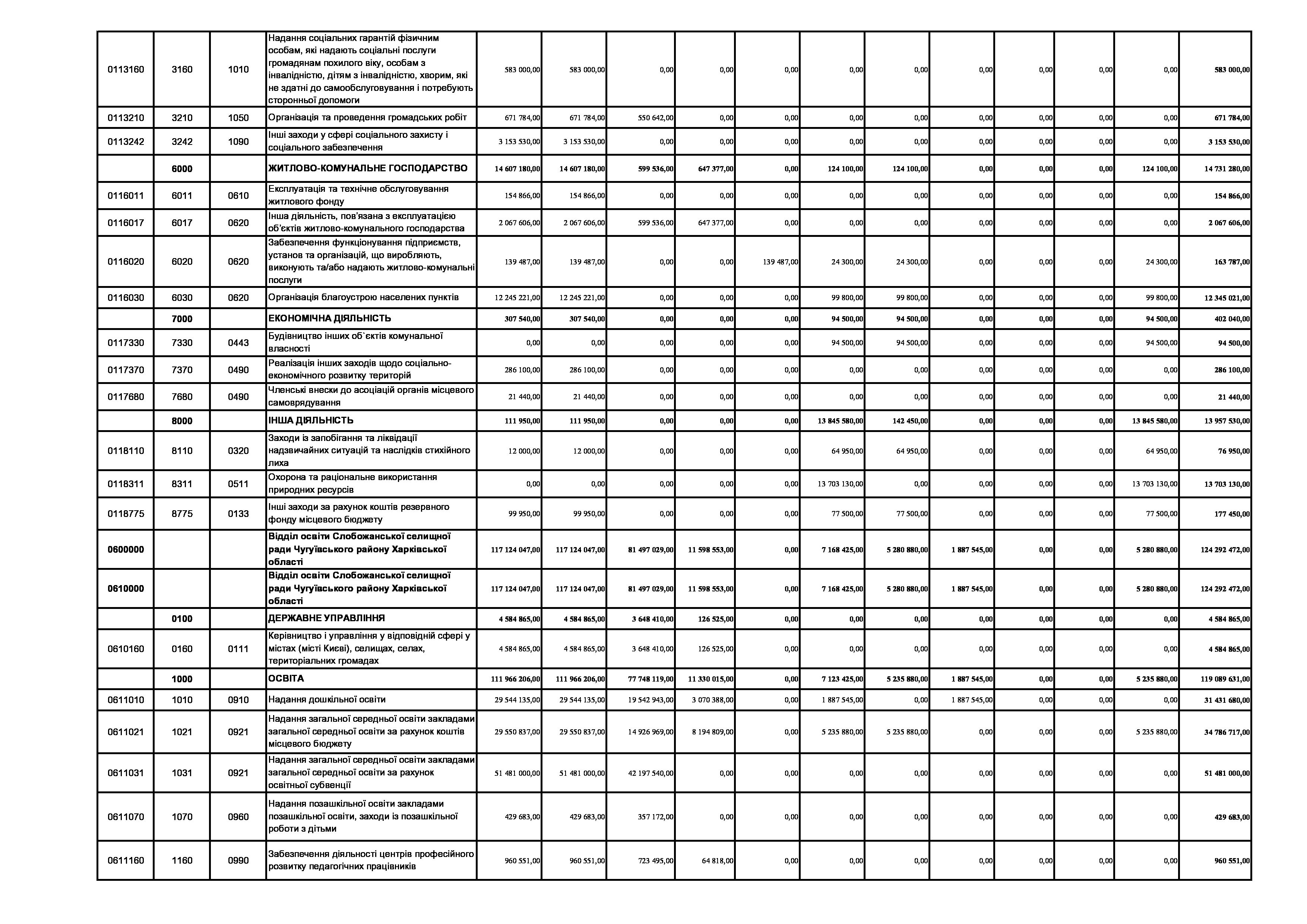
Рішення сесії №1497-VIII Про внесення змін до рішення ХХХ сесії VIІI скликання Слобожанської селищної ради від 23 грудня 2022 року №1392-VIІI «Про бюджет Слобожанської селищної територіальної громади на 2023 рік».
Рішення сесії №1498-VIII Про затвердження Положення про резервний фонд бюджету Слобожанської селищної територіальної громади.
Рішення сесії №1499-VIII Про додаткове створення резервного фонду бюджету Слобожанської селищної територіальної громади на 2023 рік.
Рішення сесії №1500-VIII Про внесення змін та доповнень до Заходів на 2023 рік до Програми розвитку місцевого самоврядування Слобожанської селищної ради на 2021 – 2025 роки.
Рішення сесії №1501-VIII Про внесення змін до місцевої цільової Програми розвитку цивільного захисту Слобожанської селищної ради на 2021-2025 роки.
Рішення сесії №1502-VIII Про передачу комунального майна Відділу культури, туризму, молоді та спорту Слобожанської селищної ради.
Рішення сесії №1503-VIII Про внесення змін до Заходів на 2023 рік до Програми забезпечення тимчасового розміщення та організації харчування внутрішньо переміщених осіб та/або евакуйованих осіб, які перемістилися на територію Слобожанської селищної територіальної громади після 24.02.2022 р., в закладах освіти Слобожанської селищної ради Чугуївського району Харківської області на 2022 – 2023 роки.






















