
від "21" лютого 2023 року
Рішення сесії №1470-VIII Про затвердження порядку денного ХХХІІ сесії Слобожанської селищної ради VІIІ скликання.
Рішення сесії №1471-VIII Про внесення змін до рішення ХХХ сесії VIІI скликання Слобожанської селищної ради від 23 грудня 2022 року №1392-VIІI «Про бюджет Слобожанської селищної територіальної громади на 2023 рік».
Рішення сесії №1472-VIII Про внесення змін до Програми соціального захисту населення Слобожанської селищної ради на 2021-2025 роки.
Рішення сесії №1473-VIII Про внесення змін до Заходів на 2023 рік до Програми соціального захисту населення Слобожанської селищної ради на 2021-2025 роки.
Рішення сесії №1474-VIII Про внесення змін та доповнень до Заходів на 2023 рік до Програми розвитку охорони здоров'я на території Слобожанської селищної ради на 2021 – 2025 роки.
Рішення сесії №1475-VIII Про внесення змін та доповнень до Заходів на 2023 рік до Програми фінансової підтримки об’єднань співвласників багатоквартирних будинків, житлових товариств та житлово-будівельних кооперативів на 2021-2025 роки.
Рішення сесії №1476-VIII Про внесення змін та доповнень до Заходів на 2023 рік до Програми енергозбереження та благоустрою територій населених пунктів Слобожанської селищної ради на 2021-2025 роки.
Рішення сесії №1477-VIII Про Звіт старости Слобожанської селищної територіальної громади Олександра БУТКА.
Рішення сесії №1478-VIII Про Звіт старости Слобожанської селищної територіальної громади Тетяни ЛИСАК.
Рішення сесії №1479-VIII Про Звіт старости Слобожанської селищної територіальної громади Юрія РУСІНА.
Рішення сесії №1480-VIII Про Звіт старости Слобожанської селищної територіальної громади Віктора СЕВЕРІНА.
Рішення сесії №1481-VIII Про створення постійно діючої комісії для розгляду питань щодо відключення споживачів від мереж (систем) централізованого опалення (теплопостачання) та постачання гарячої води.
Рішення сесії №1482-VIII Про закріплення на праві оперативного управління майна Слобожанської селищної територіальної громади за закладами культури та спорту.
Рішення сесії №1483-VIII Про внесення змін до рішення ХХХІ сесії Слобожанської селищної ради VIII скликання «Про затвердження акту приймання-передачі майна» від 20.01.2023 року №1468 – VIII.
Рішення сесії №1484-VIII Про внесення змін до рішення XIX сесії Слобожанської селищної ради VIII скликання «Про затвердження Переліку об’єктів комунальної власності Слобожанської селищної територіальної громади» від 25.11.2021 №828-VIII.
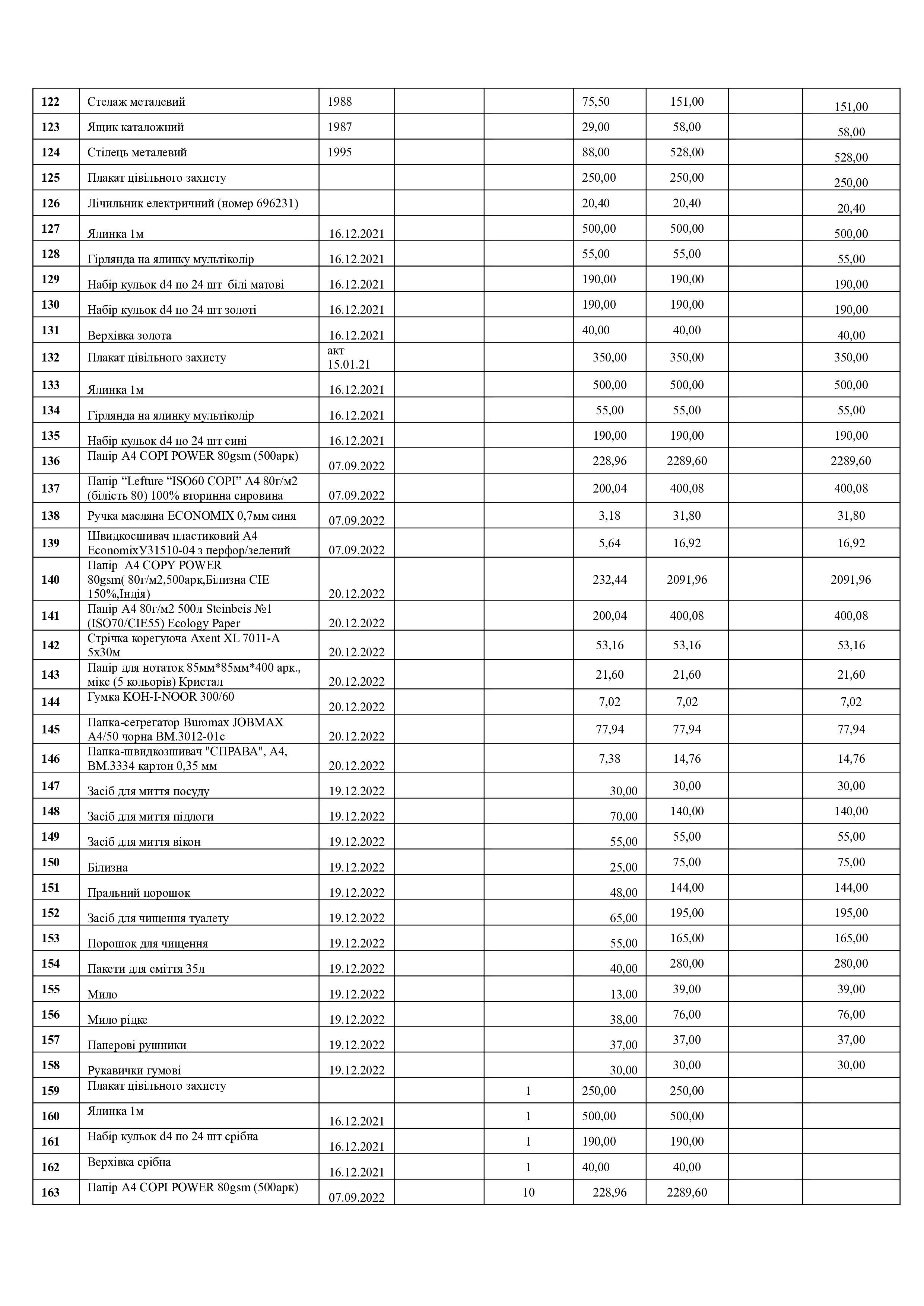
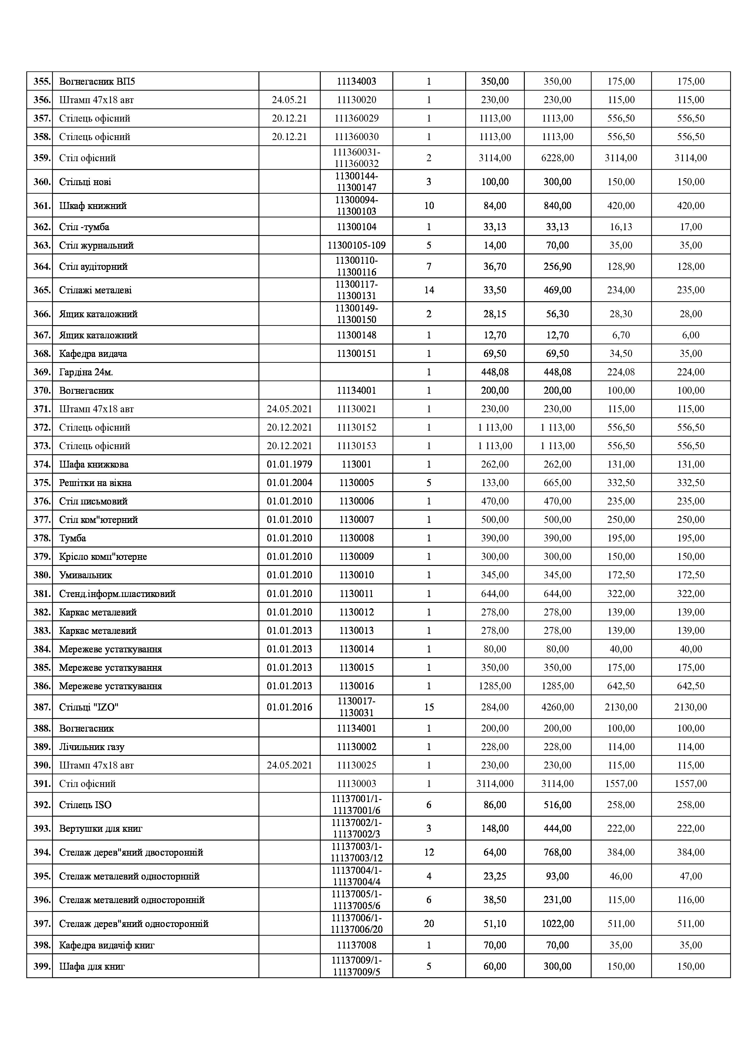
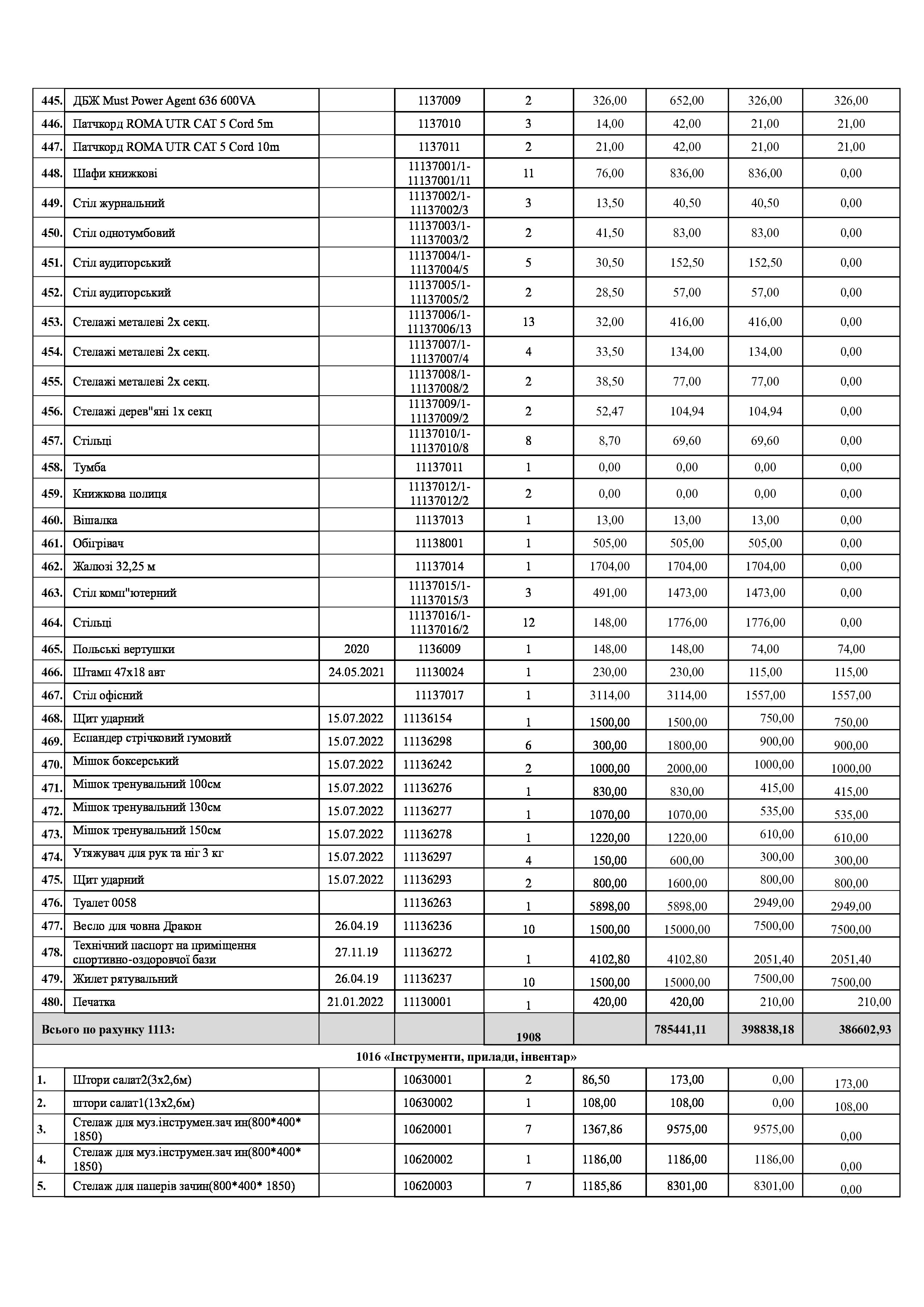
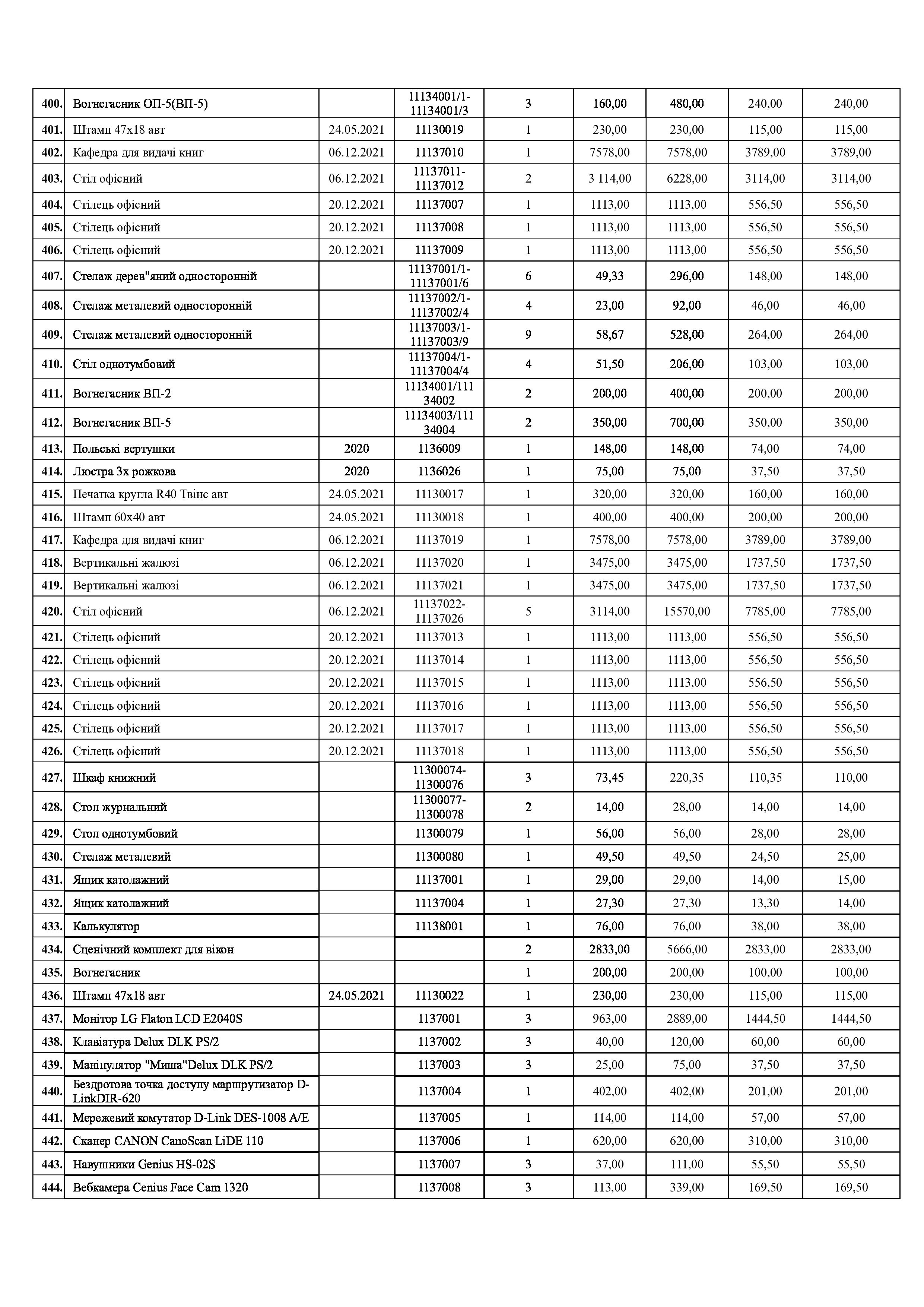
Рішення сесії №1485-VIII Про затвердження звіту про списання майна комунальної власності Слобожанської селищної територіальної громади.
Рішення сесії №1486-VIII Про погодження Відділу освіти Слобожанської селищної ради намірів передачі в оренду нерухомого майна, а саме: нежитлового напівпідвального приміщення, загальною площею 102,0кв.м., розташованого за адресою: Харківська область, Чугуївський район, смт. Слобожанське, вул. С. Закори, буд. 28.
Рішення сесії №1487-VIII Про прийняття у комунальну власність Слобожанської селищної територіальної громади квартири №11, розташованої в будинку №4 по вулиці Молодіжній в селі Геніївка, Чугуївського району Харківської області відумерлої спадщини.
Рішення сесії №1488-VIII Про продовження строкового трудового договору (контракту) з Павленко Т.В. на посаді директора Комунального закладу дошкільної освіти (ясла - садок) «Веселка» с. Шелудьківка Слобожанської селищної ради Чугуївського району Харківської області.
Рішення сесії №1489-VIII Про затвердження Порядку отримання, обліку, передачі та видачі на території Слобожанської селищної територіальної громади гуманітарної допомоги, що надається іноземними та вітчизняними донорами із гуманітарних мотивів, в умовах воєнного стану в Україні.
Рішення сесії №1490-VIII Про схвалення проєкту Додаткового договору до договору про співробітництво територіальних громад у формі делегування виконання окремих завдань щодо організації медичного обслуговування населення, безпосередньо пов’язаного з наданням первинної медичної допомоги №1 від 23.12.2022 року.
Рішення сесії №1491-VIII Про затвердження технічної документації із землеустрою щодо встановлення (відновлення) меж земельної ділянки в натурі (на місцевості) для будівництва і обслуговування житлового будинку, господарських будівель і споруд гр. Нарожній Любові Іванівні, гр.Нарожному Олександру Володимировичу, гр.Нарожній Наталії Володимирівні.
Рішення сесії №1492-VIII Про затвердження технічної документації із землеустрою щодо встановлення (відновлення) меж земельної ділянки в натурі (на місцевості) для будівництва і обслуговування житлового будинку, господарських будівель і споруд гр. Луценко Наталії Миколаївні.
Рішення сесії №1493-VIII Про надання дозволу на розробку проекту землеустрою щодо відведення земельної ділянки гр.Терновому С.І. та Шахраманян М.В.
Рішення сесії №1494-VIII Про участь у обласному конкурсі мініпроєктів «Ефективна медицина в громаді» у 2023 році.
Рішення сесії №1495-VIII Про участь у обласному конкурсі проєктів місцевого та регіонального розвитку «Разом в майбутнє» у 2023 році.






















