Зміст статті

Sesija

від "11" лютого 2020 року

Рішення сесії №169-VIII Про затвердження порядку денного VІ сесії Слобожанської селищної ради VІIІ скликання.

Відомість голосування до рішення сесії №169-VIII

Текст рішення сесії №169-VIII

Рішення сесії №170-VIII Про внесення змін до рішення ІІІ сесії Слобожанської селищної ради VІІI скликання від 22.12.2020 року №56 - VІІI «Про селищний бюджет на 2021 рік».

Відомість голосування до рішення сесії №170-VIII

Текст рішення сесії №170-VIII

Супровідна записка до рішення VІ сесії VIII скликання Слобожанської селищної ради від 11 лютого 2021 р. № 170 -VIIІ «Про внесення змін до рішення ІІІ сесії VІII скликання Слобожанської селищної ради від 22 грудня 2020 року № 56 - VІII «Про селищний бюджет Слобожанської селищної ради на 2021 рік» та додатків до нього

Доходи місцевого бюджету на 2021 рік

Фінансування місцевого бюджету на 2021 рік

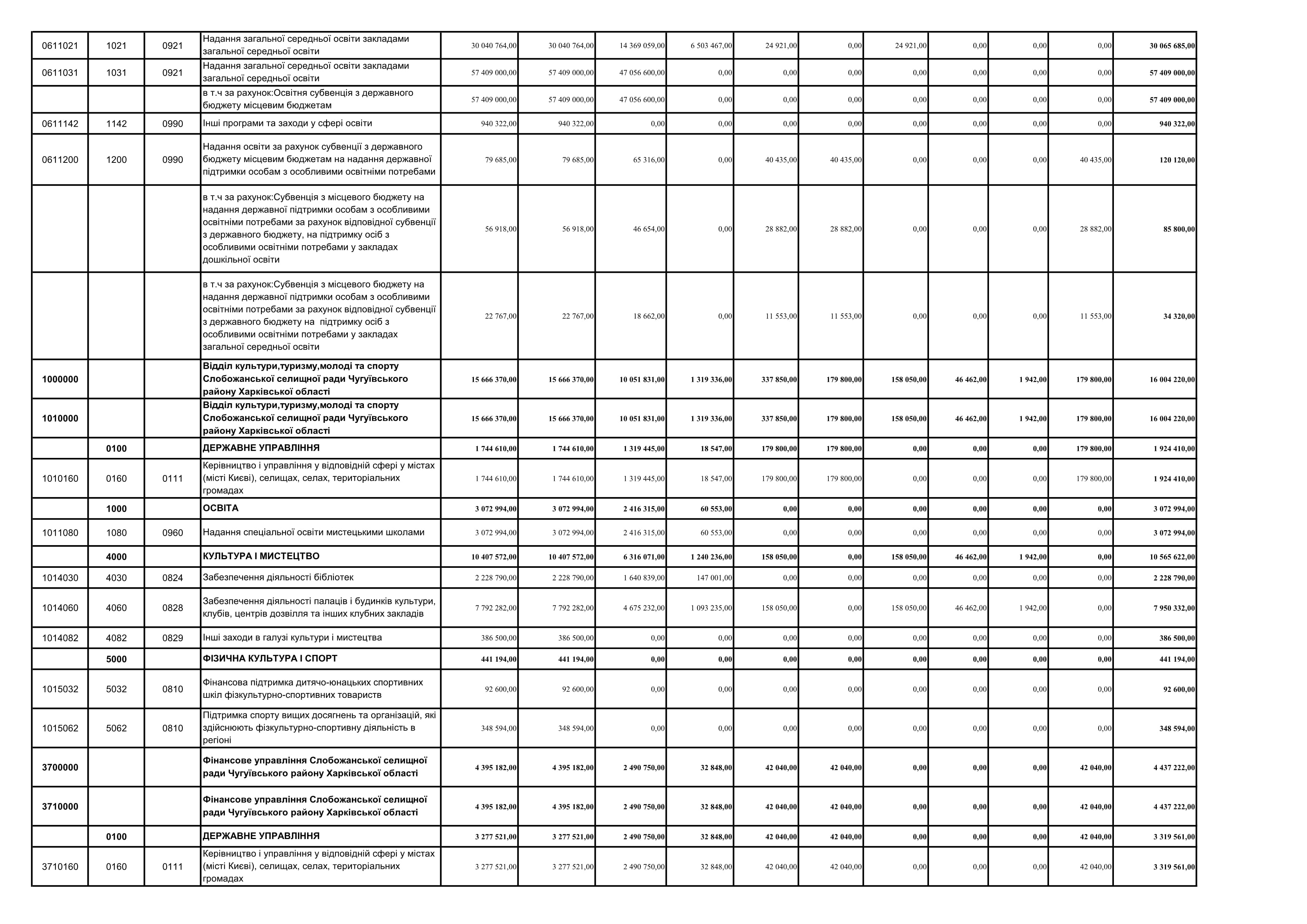
Розподіл видатків місцевого бюджету на 2021 рік

Міжбюджетні трансферти на 2021 рік

Розподіл витрат місцевого бюджету на реалізацію місцевих/регіональних програм у 2021 році

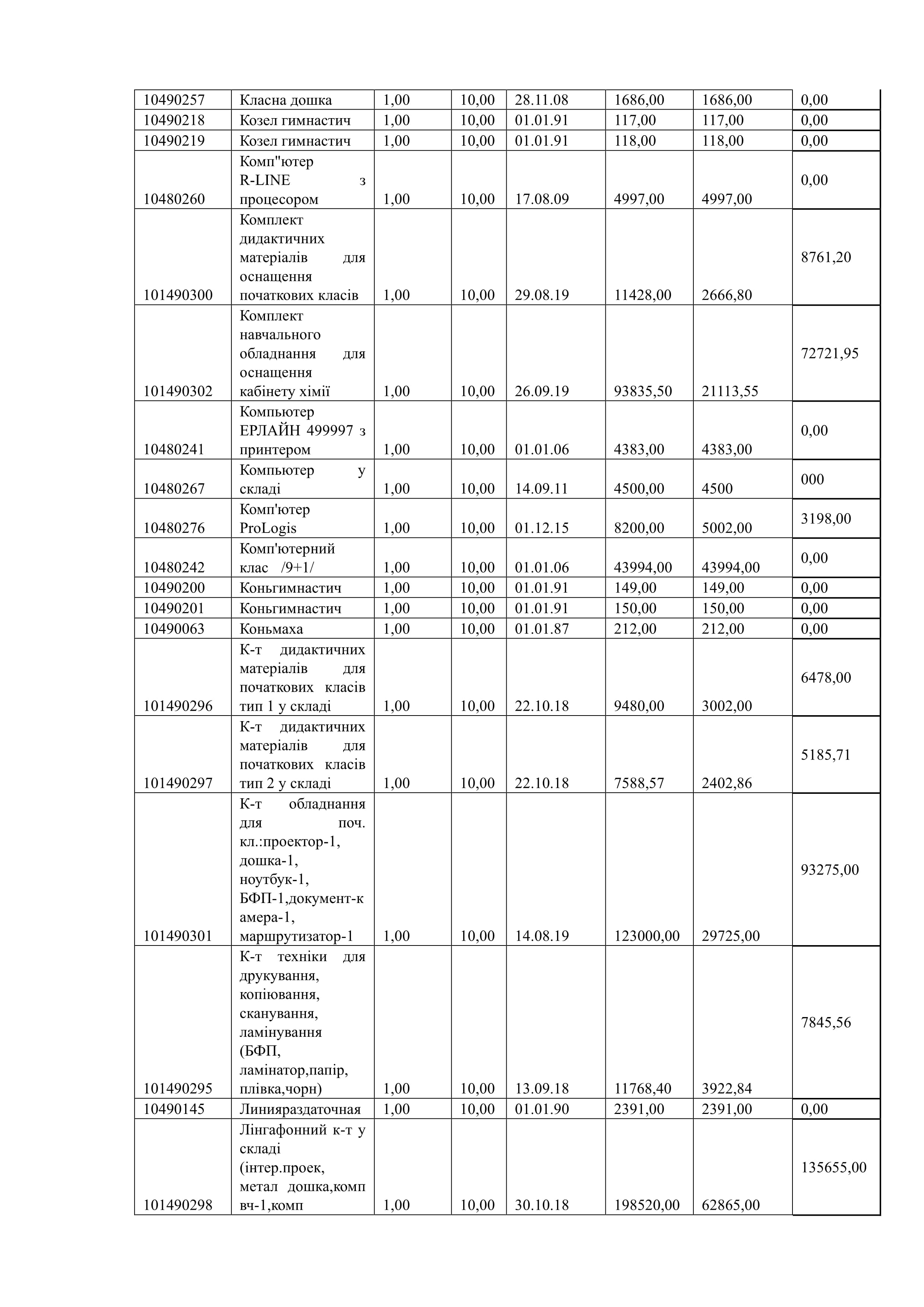
Ліміти споживання енергоносіїв у натуральних показниках на 2021рік

Рішення сесії №171-VIII Про визначення одержувача бюджетних коштів.

Відомість голосування до рішення сесії №171-VIII

Текст рішення сесії №171-VIII

Рішення сесії №172-VIII Про внесення змін до рішення І сесії Слобожанської селищної ради VІІI скликання «Про затвердження структури виконавчих органів ради, загальної чисельності апарату ради та її виконавчих органів» від 01 грудня 2020 року №16 – VІІI.

Відомість голосування до рішення сесії №172-VIII

Текст рішення сесії №172-VIII

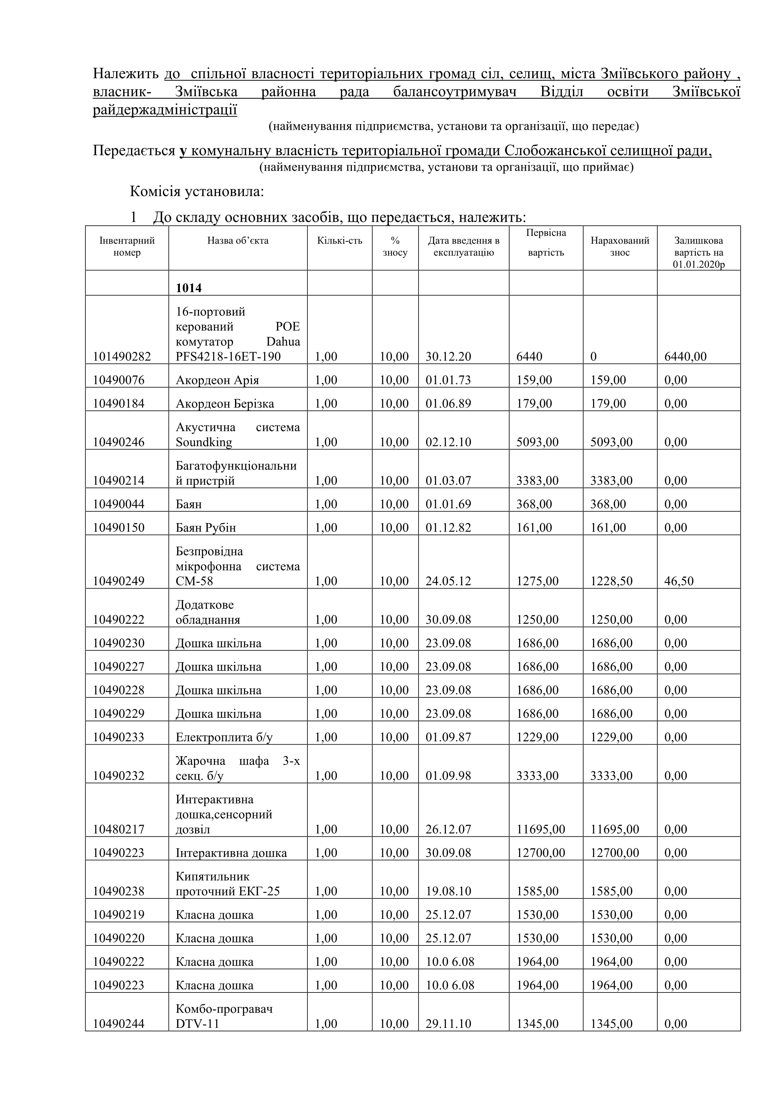
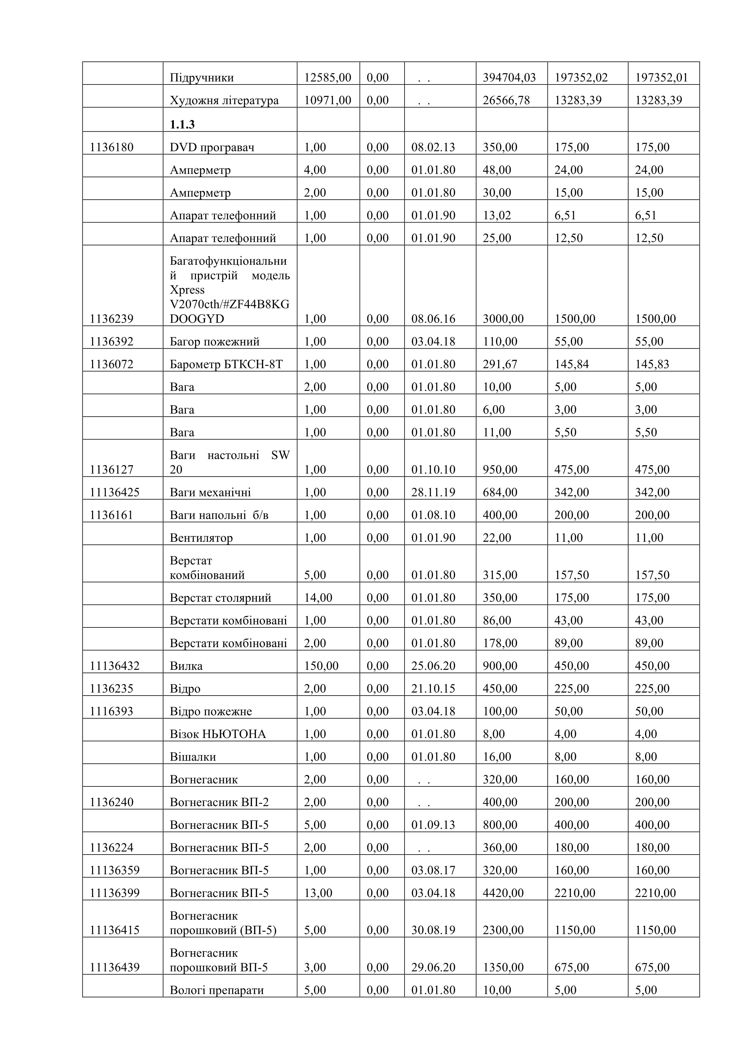
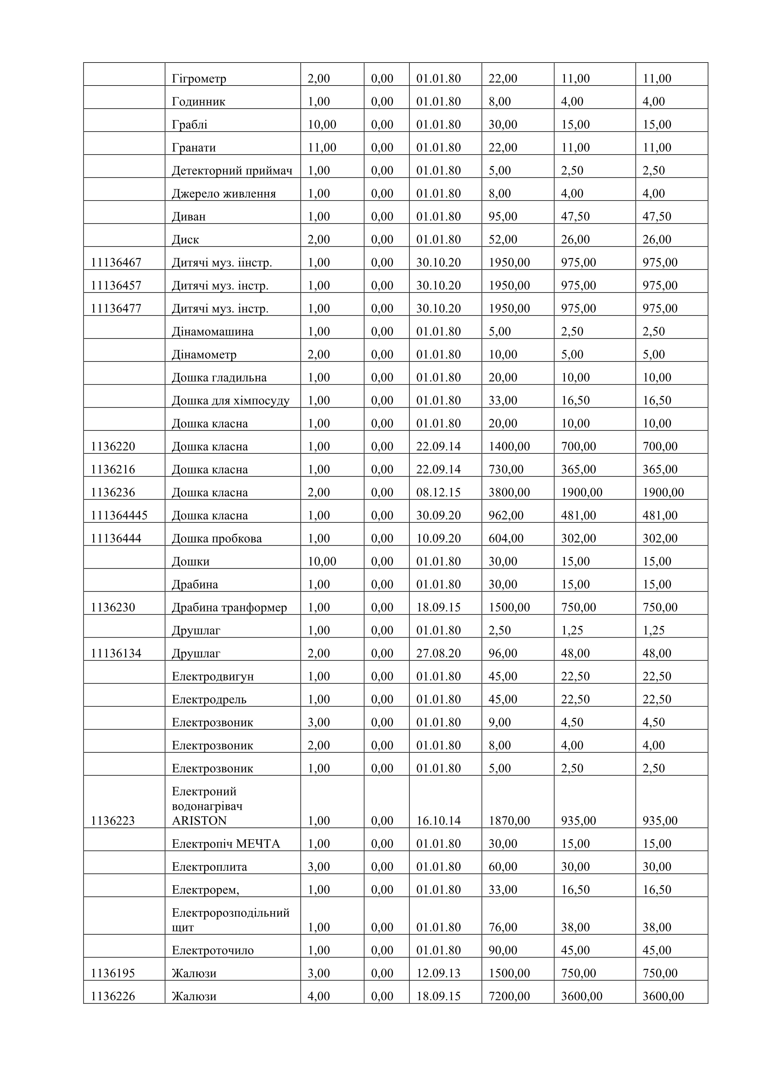
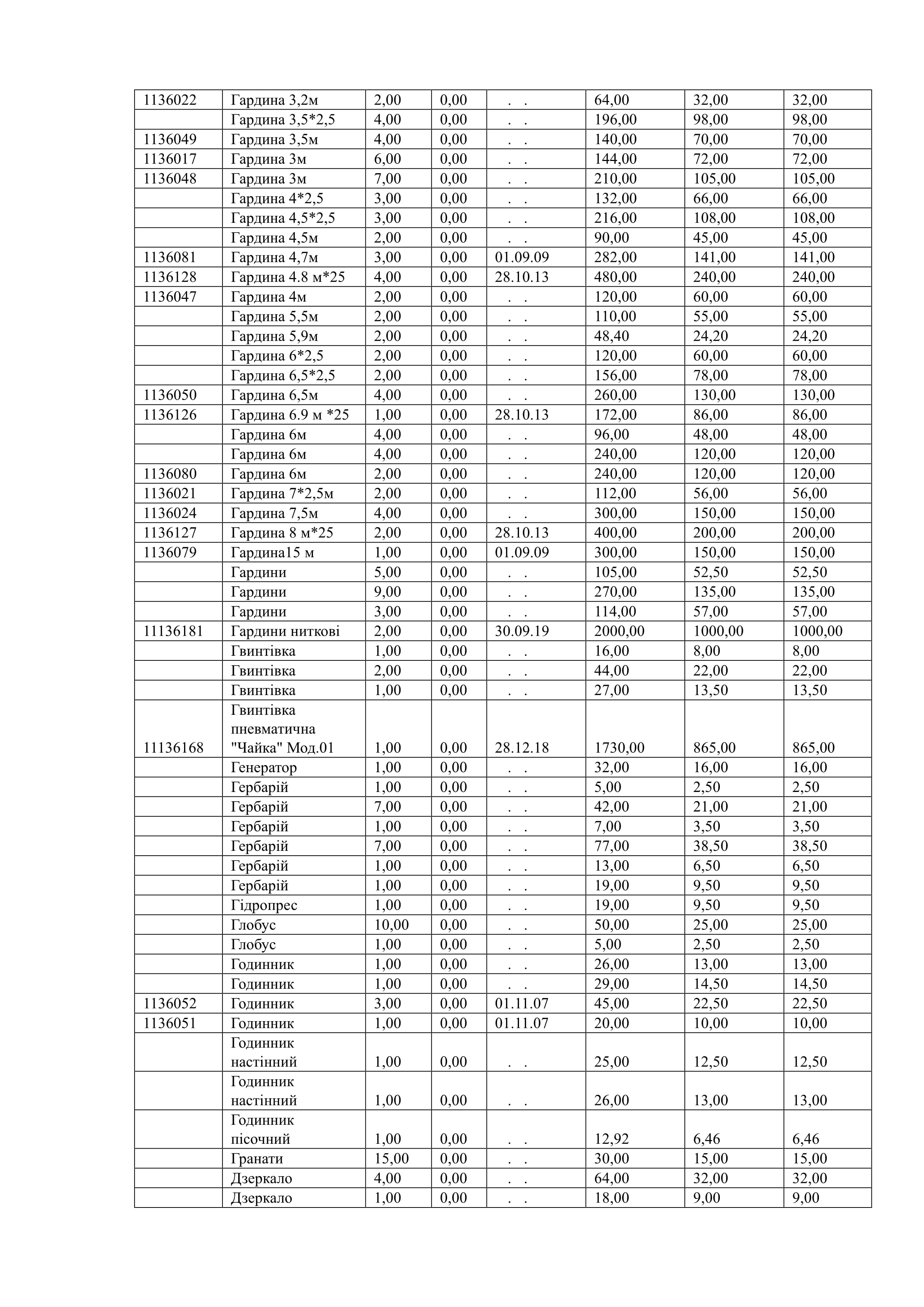
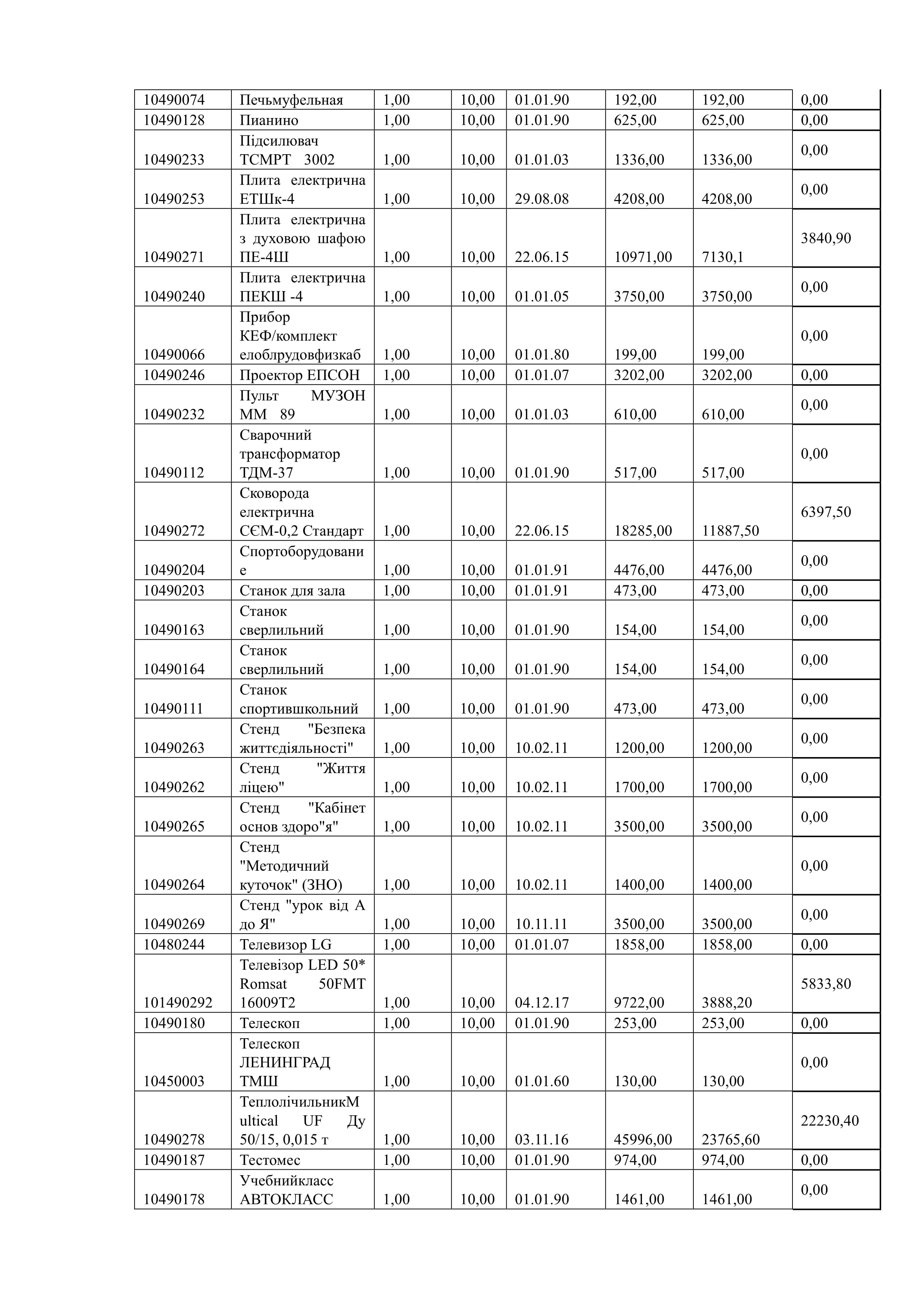
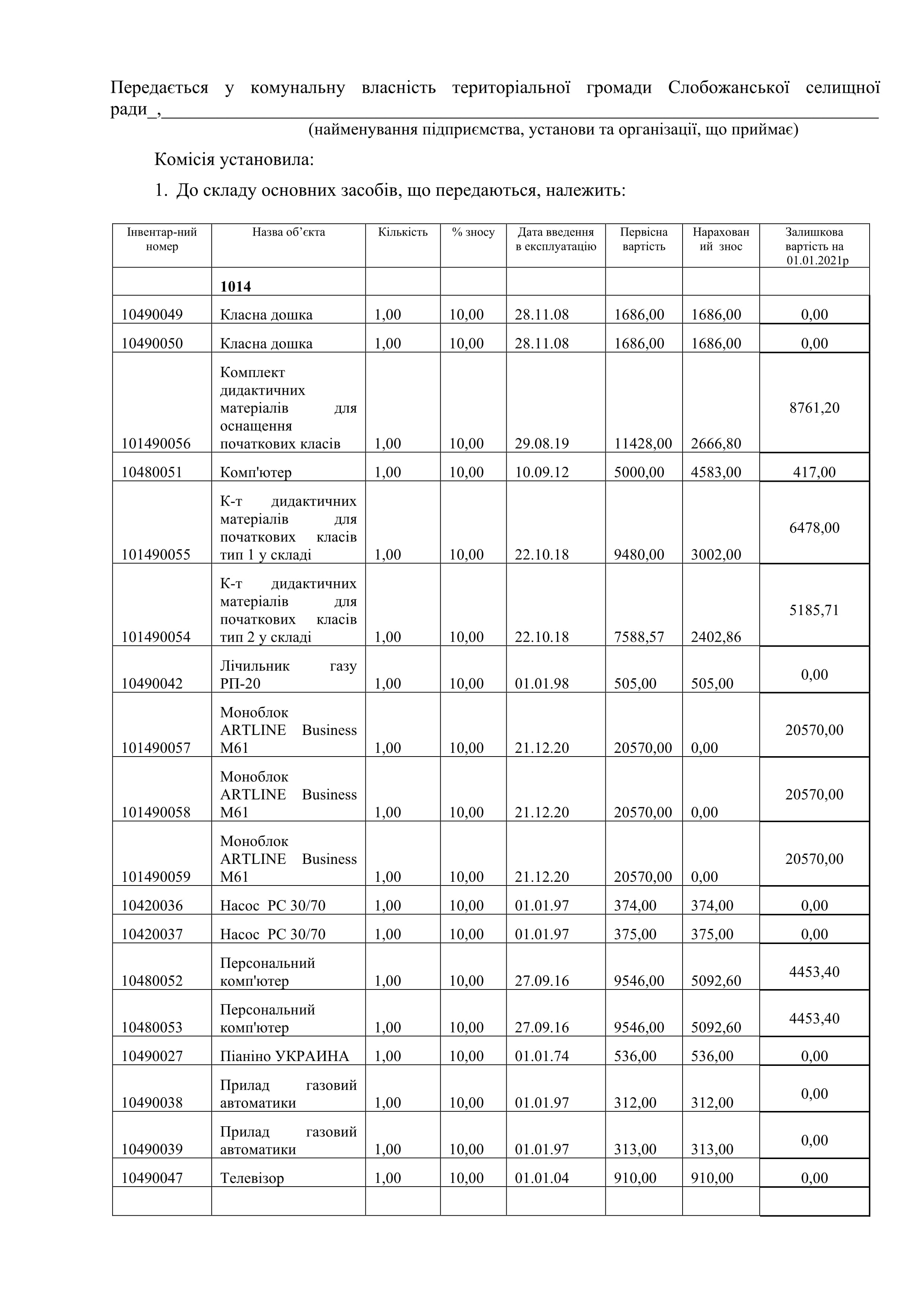
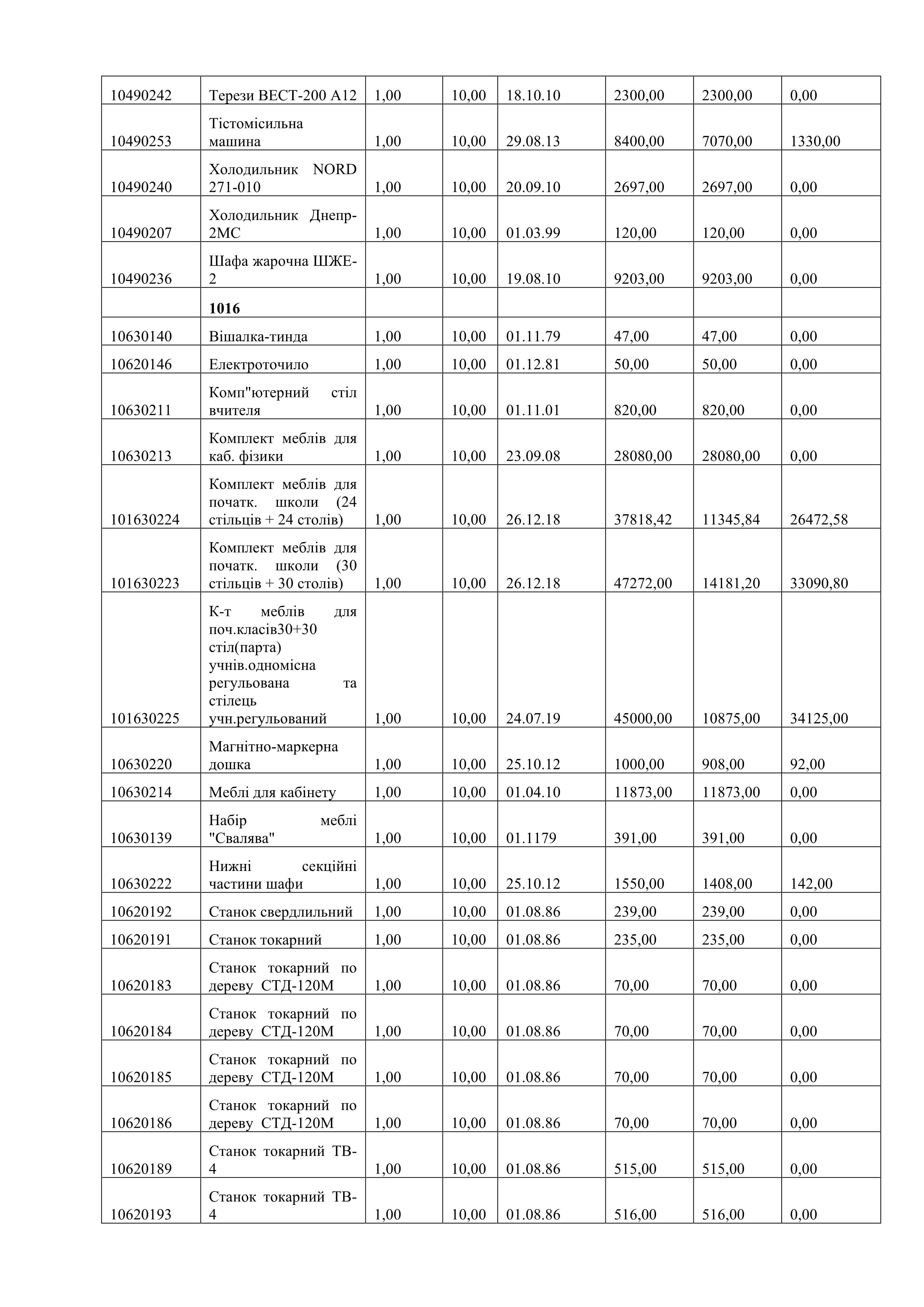
Рішення сесії №173-VIII Про затвердження Актів приймання-передачі майна закладів освіти, що передаються зі спільної власності територіальних громад сіл, селищ, міст Зміївського району до комунальної власності Слобожанської селищної ради закладів освіти.

Відомість голосування до рішення сесії №173-VIII

Текст рішення сесії №173-VIII

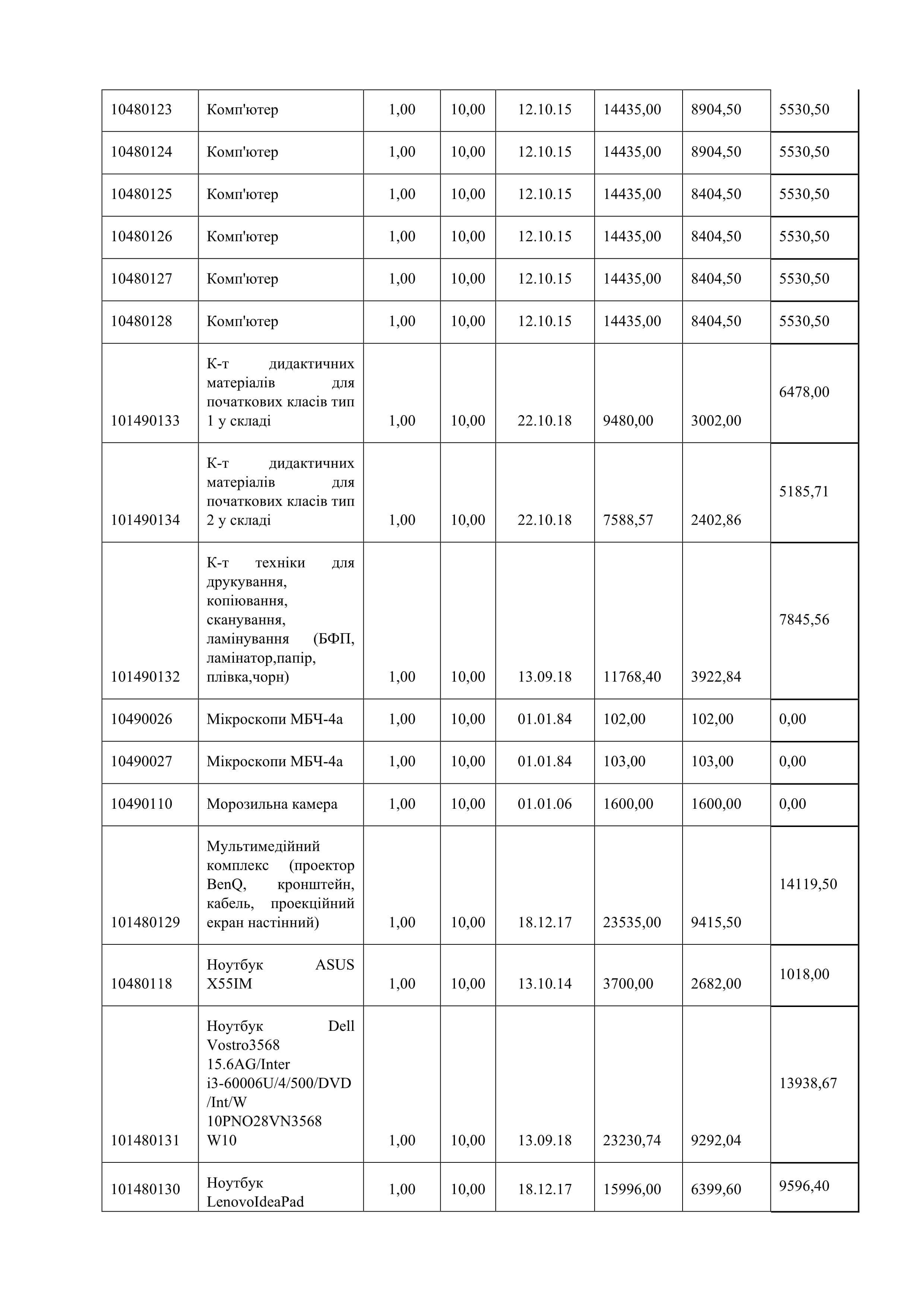
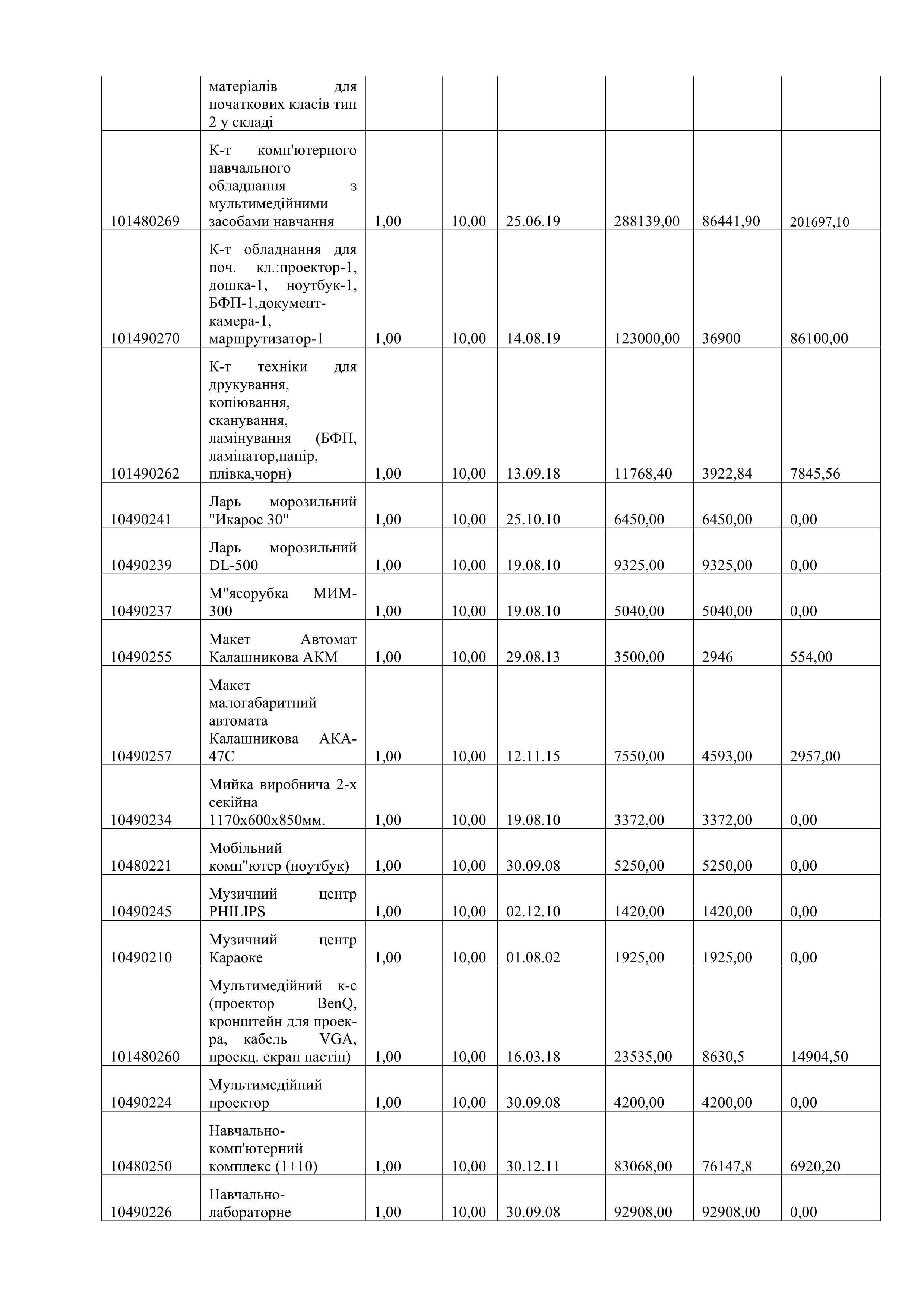
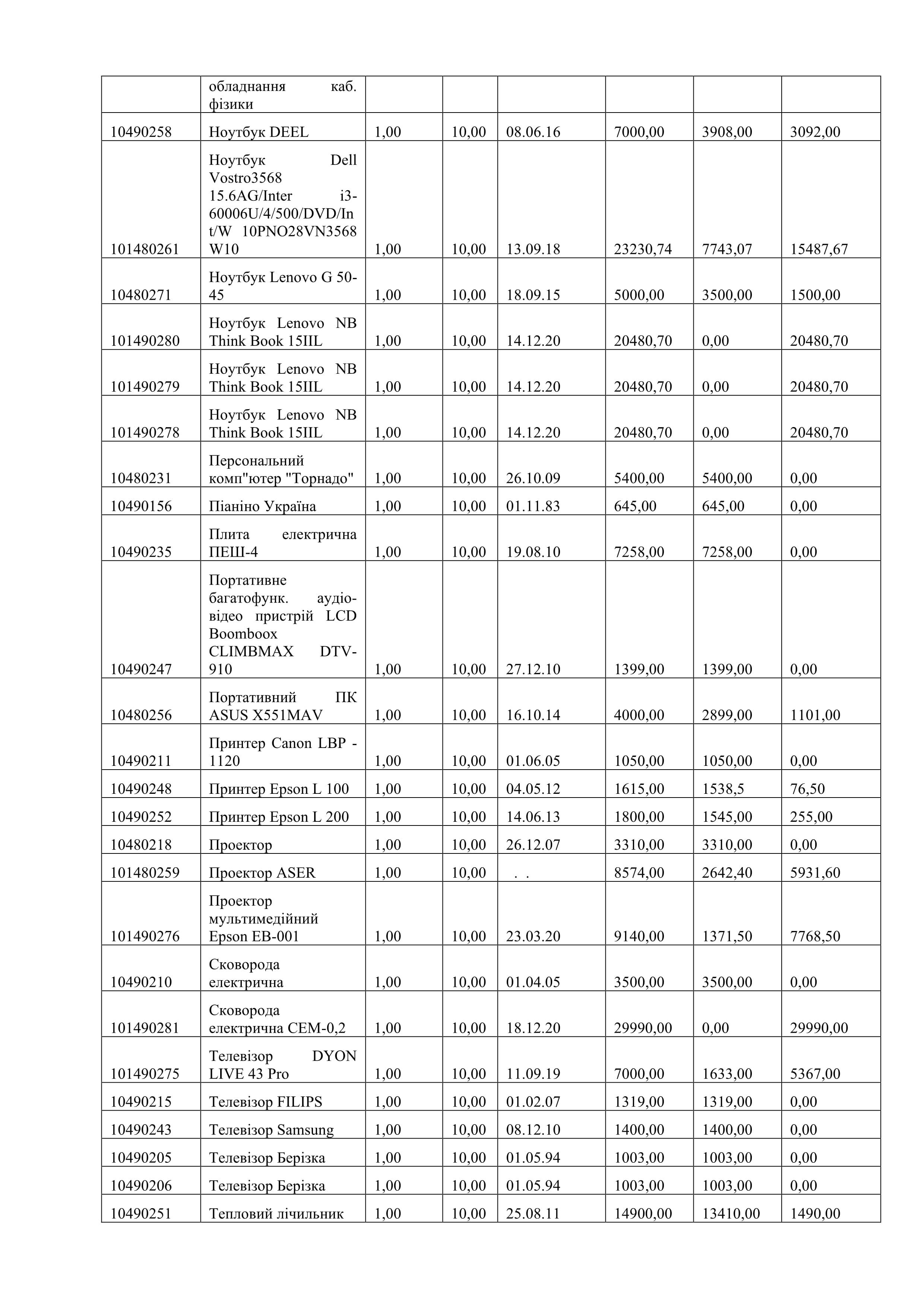
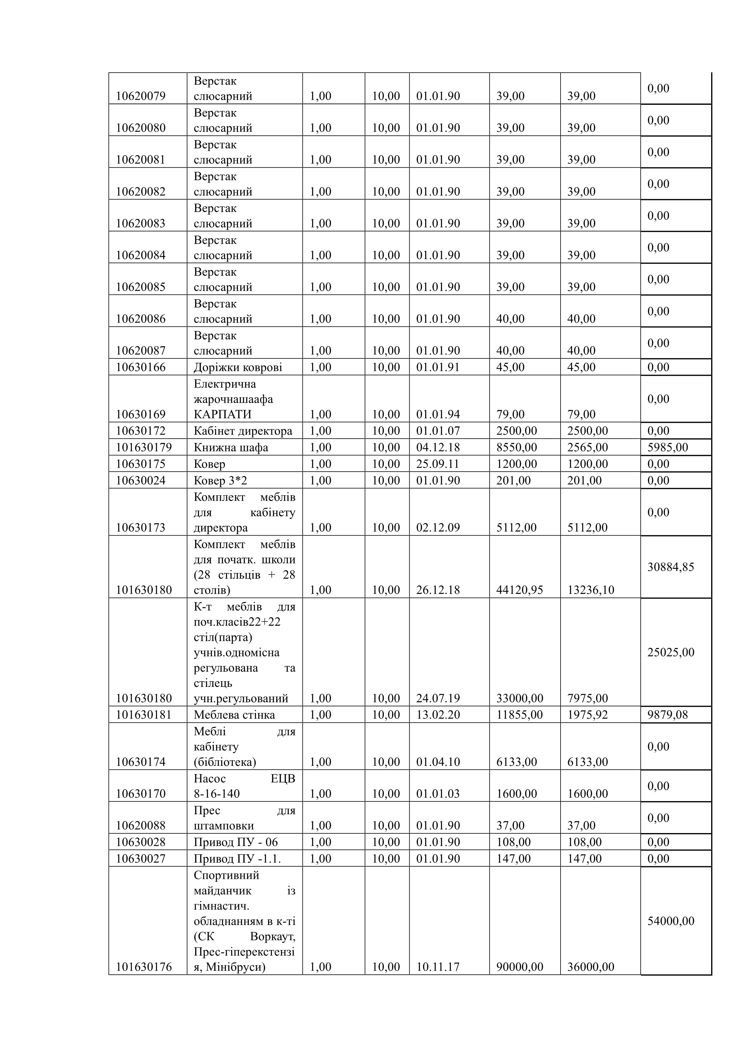
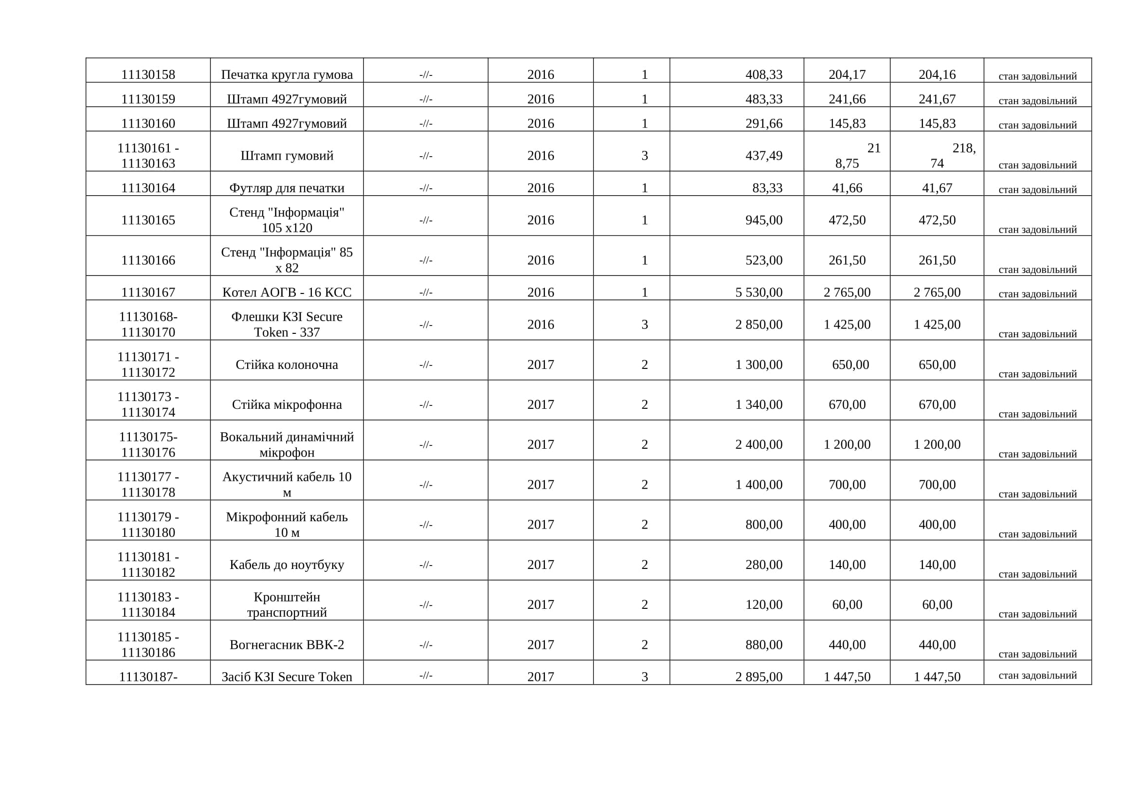
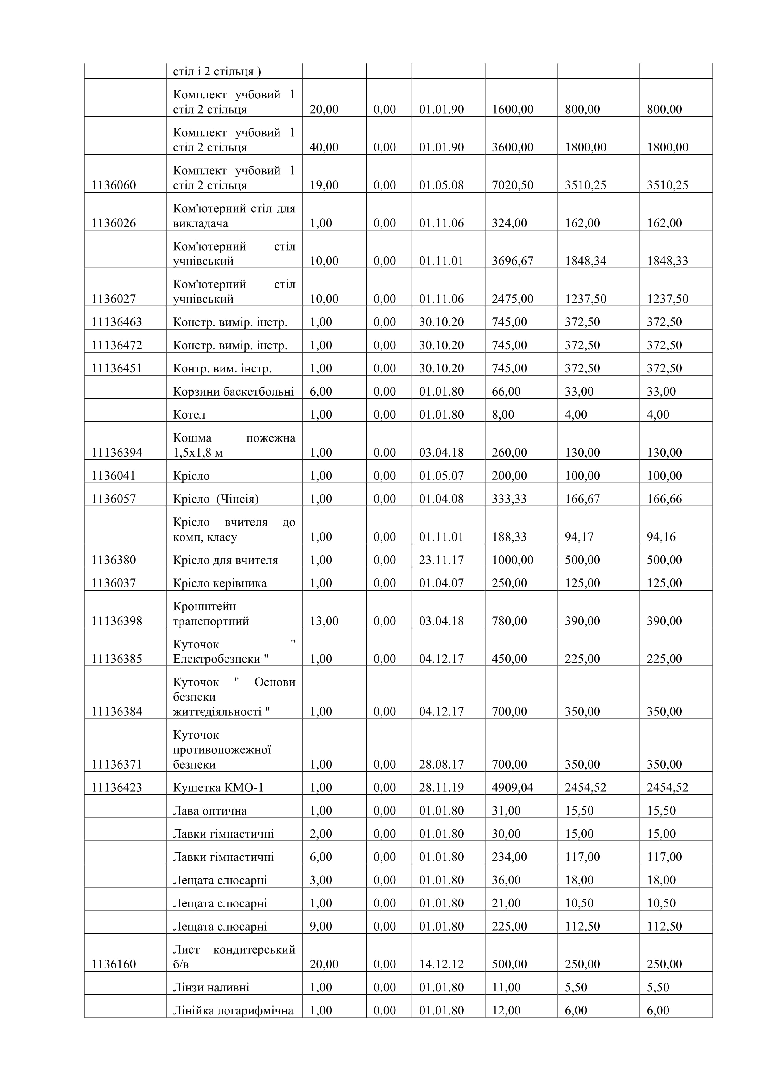
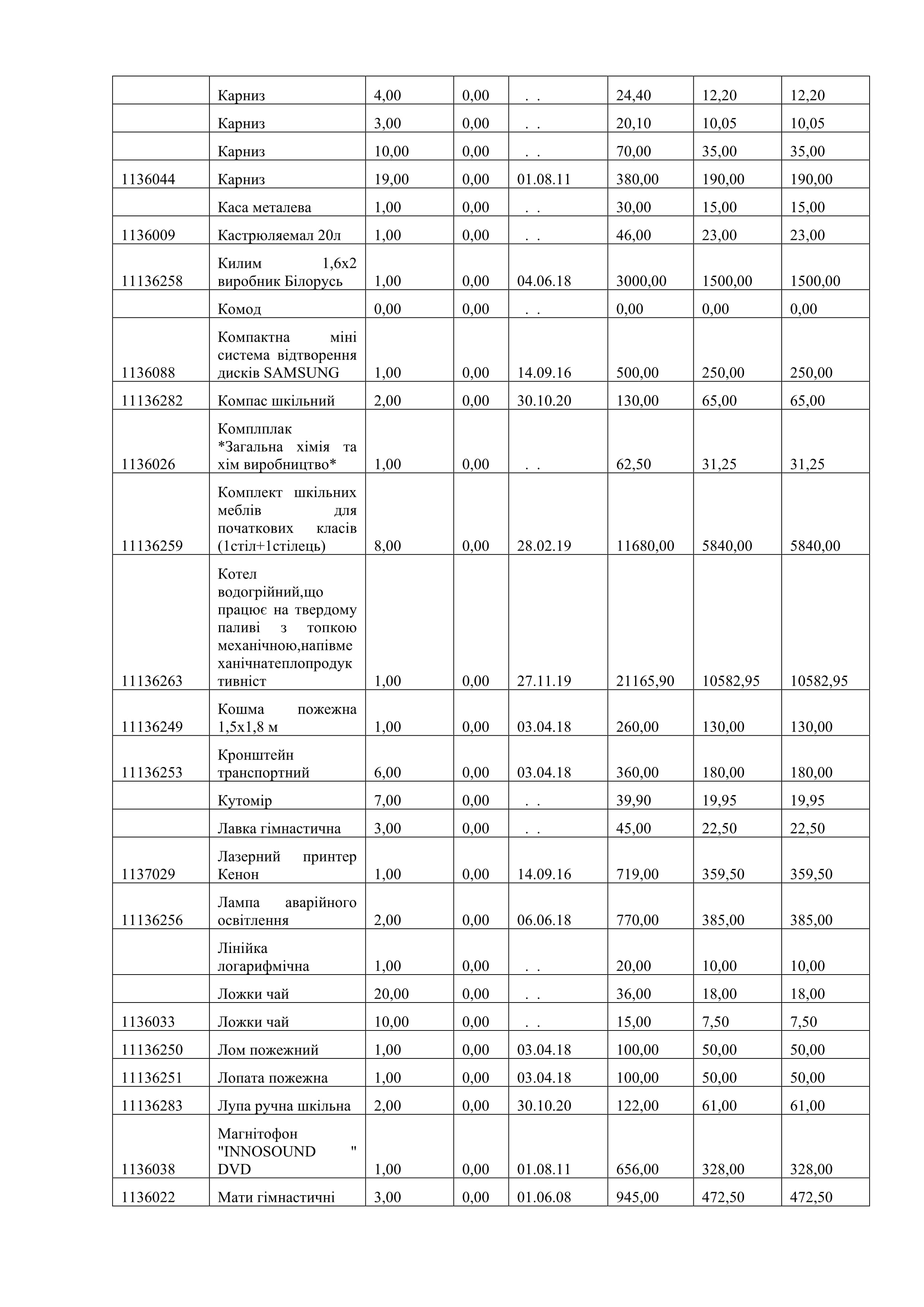
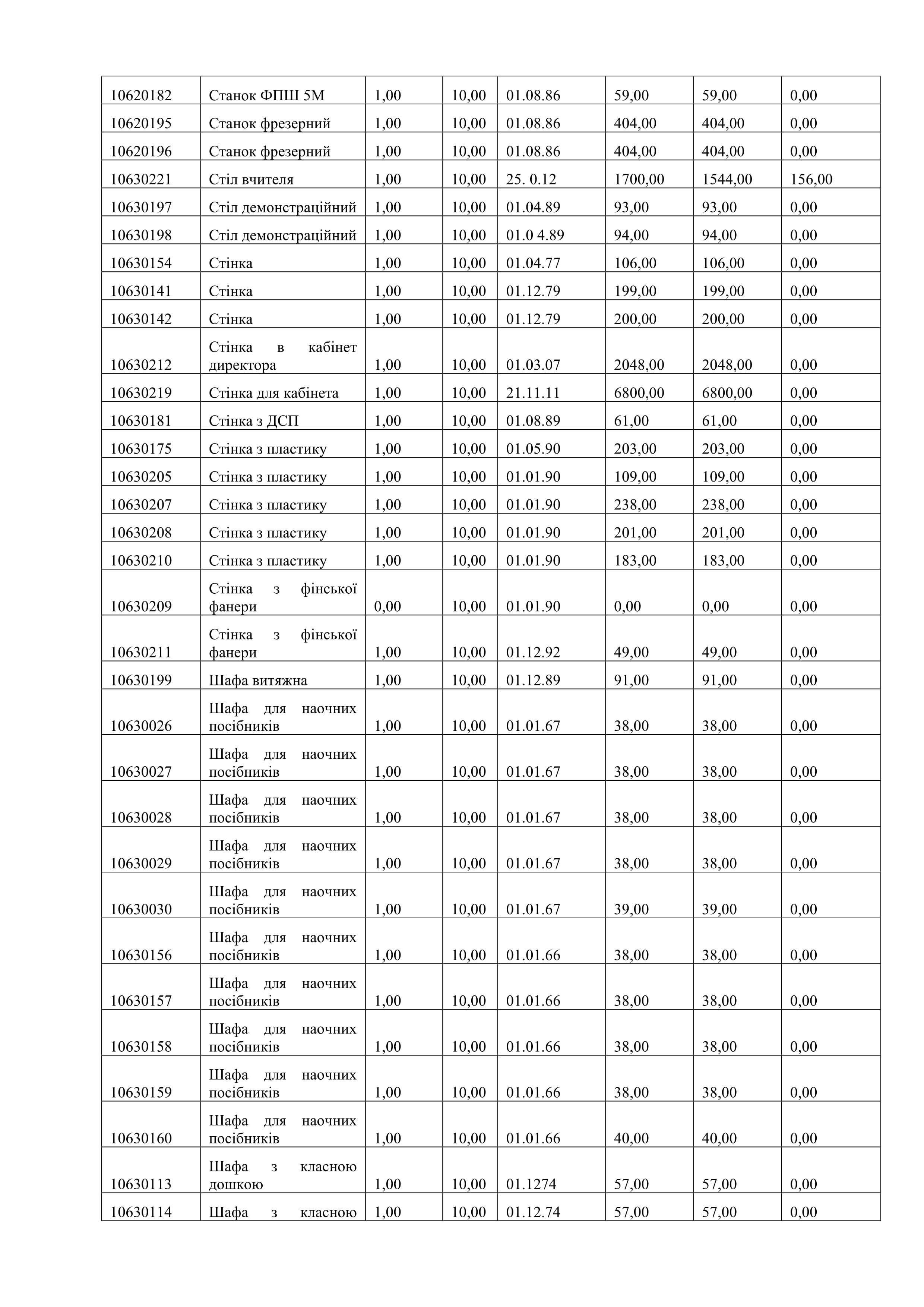
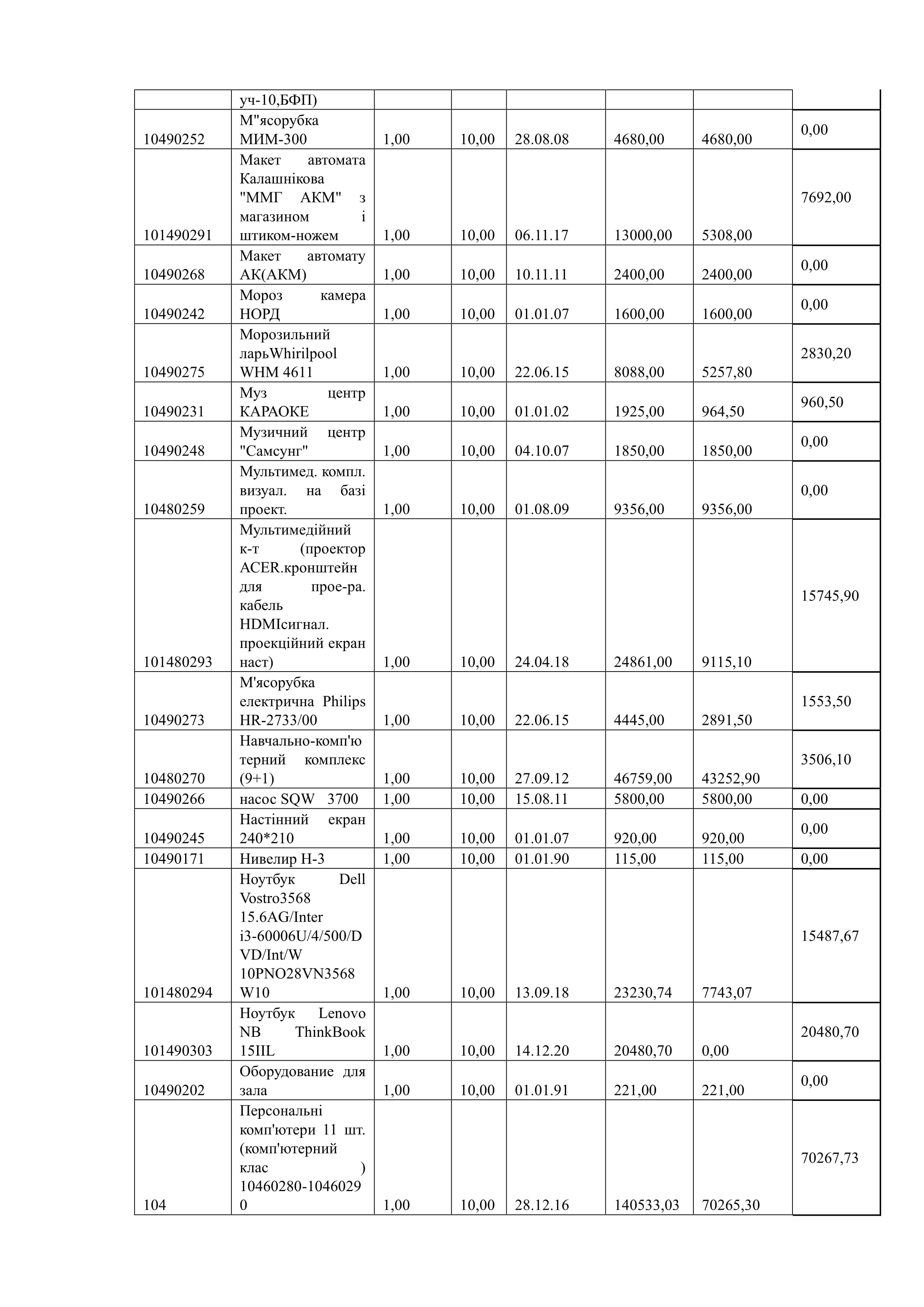
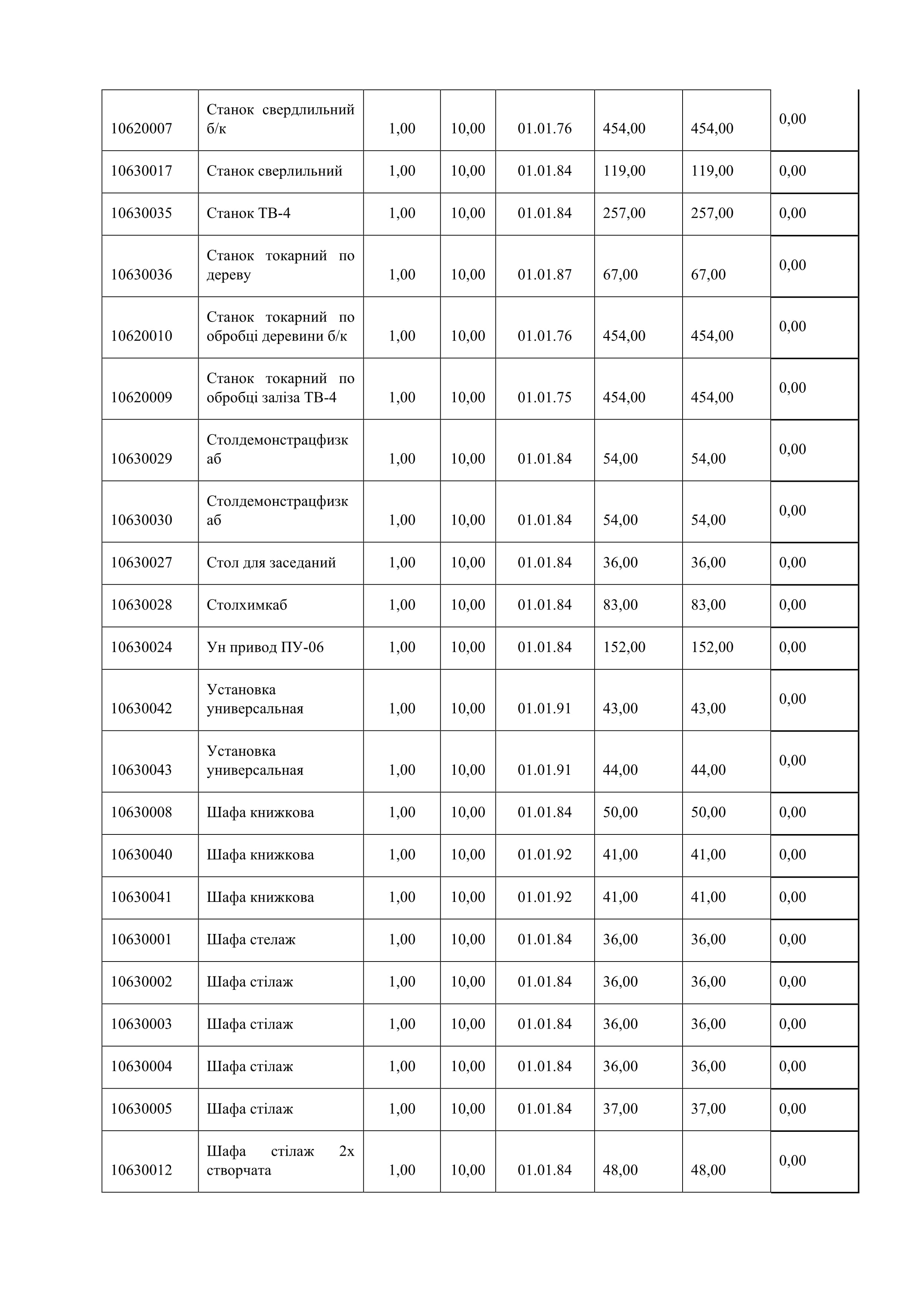
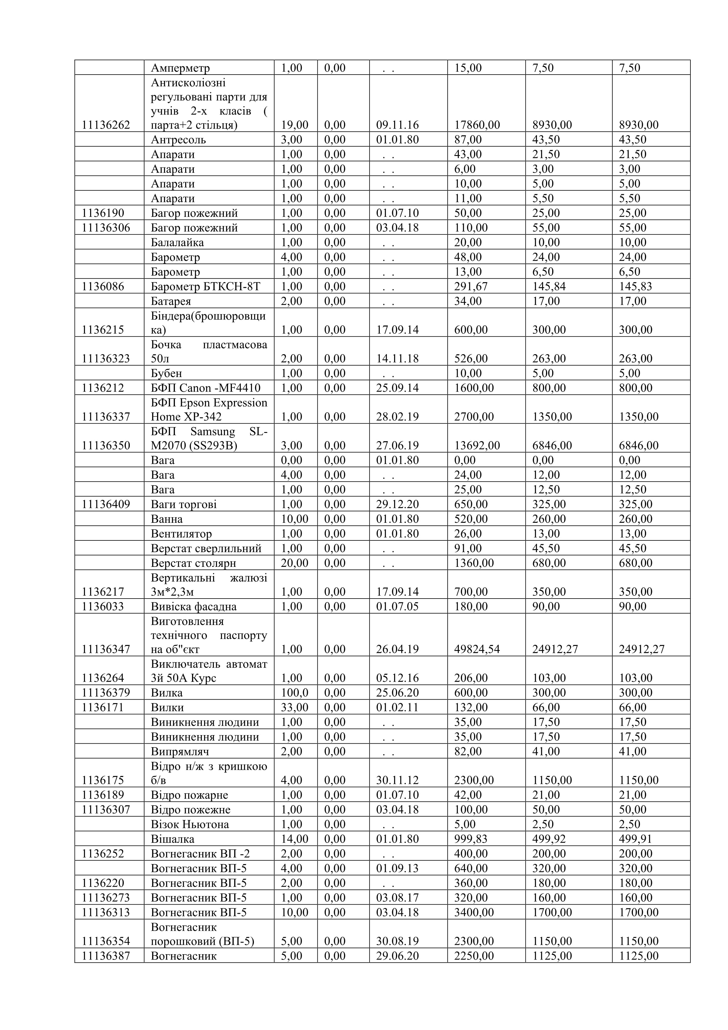
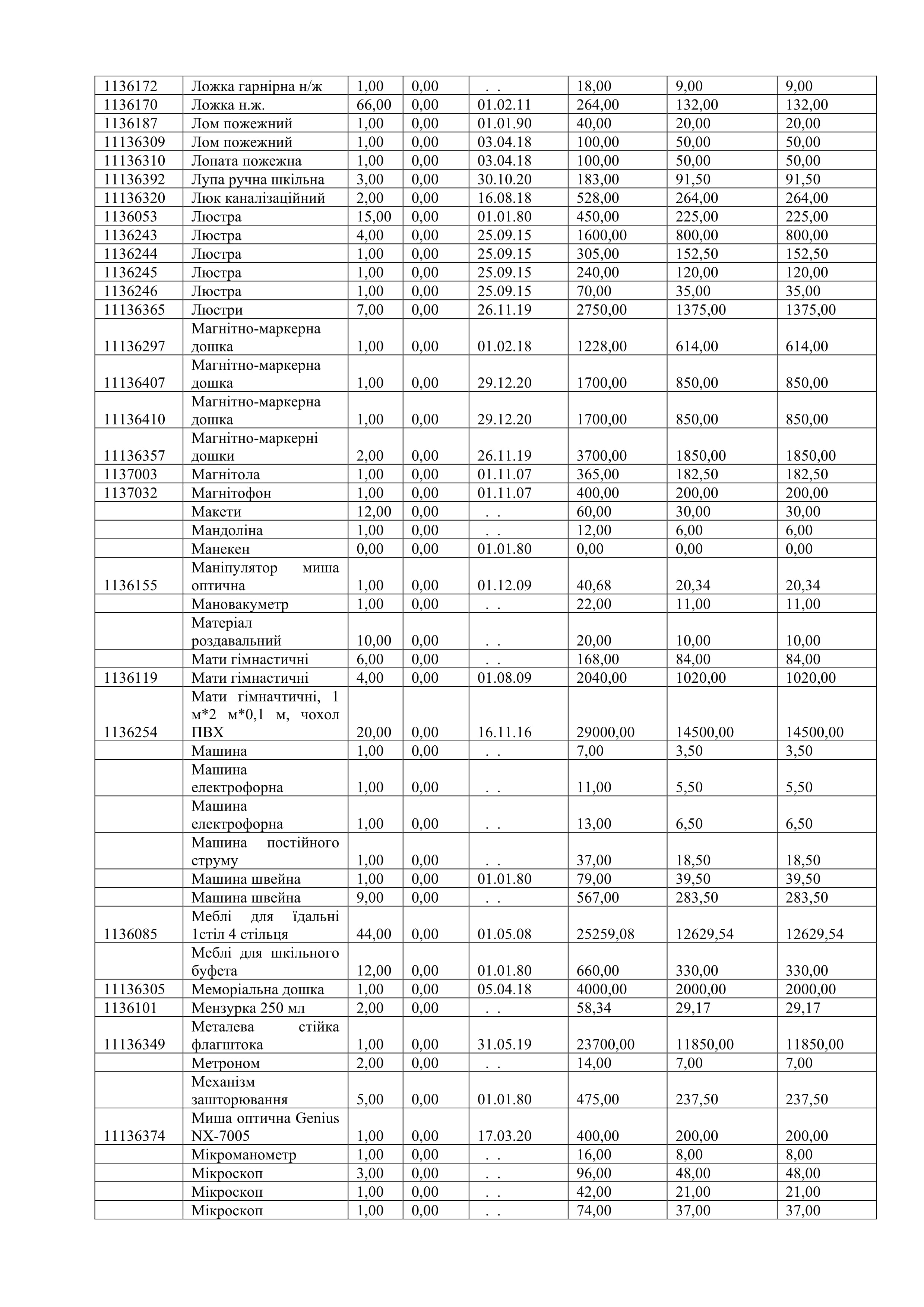
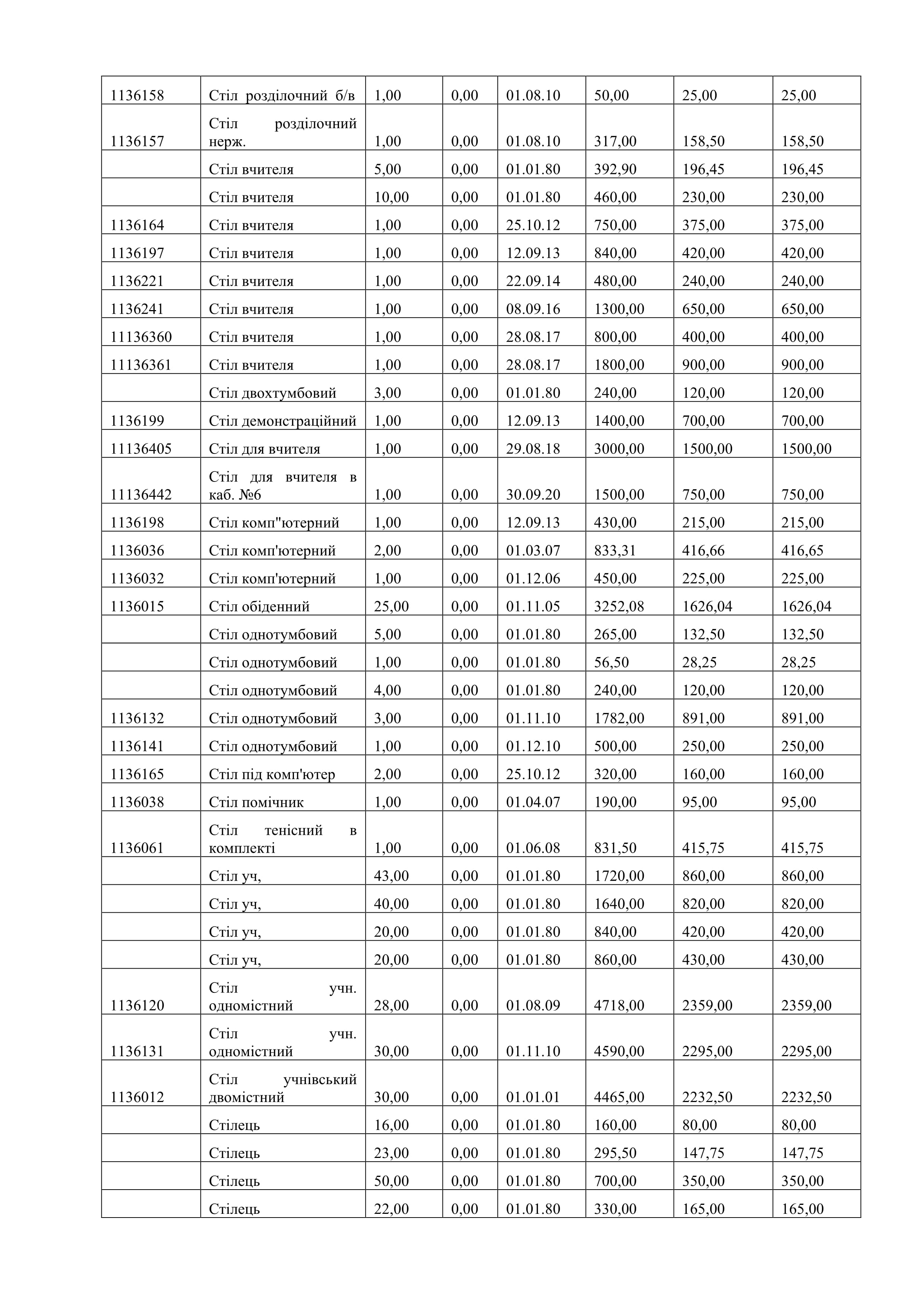
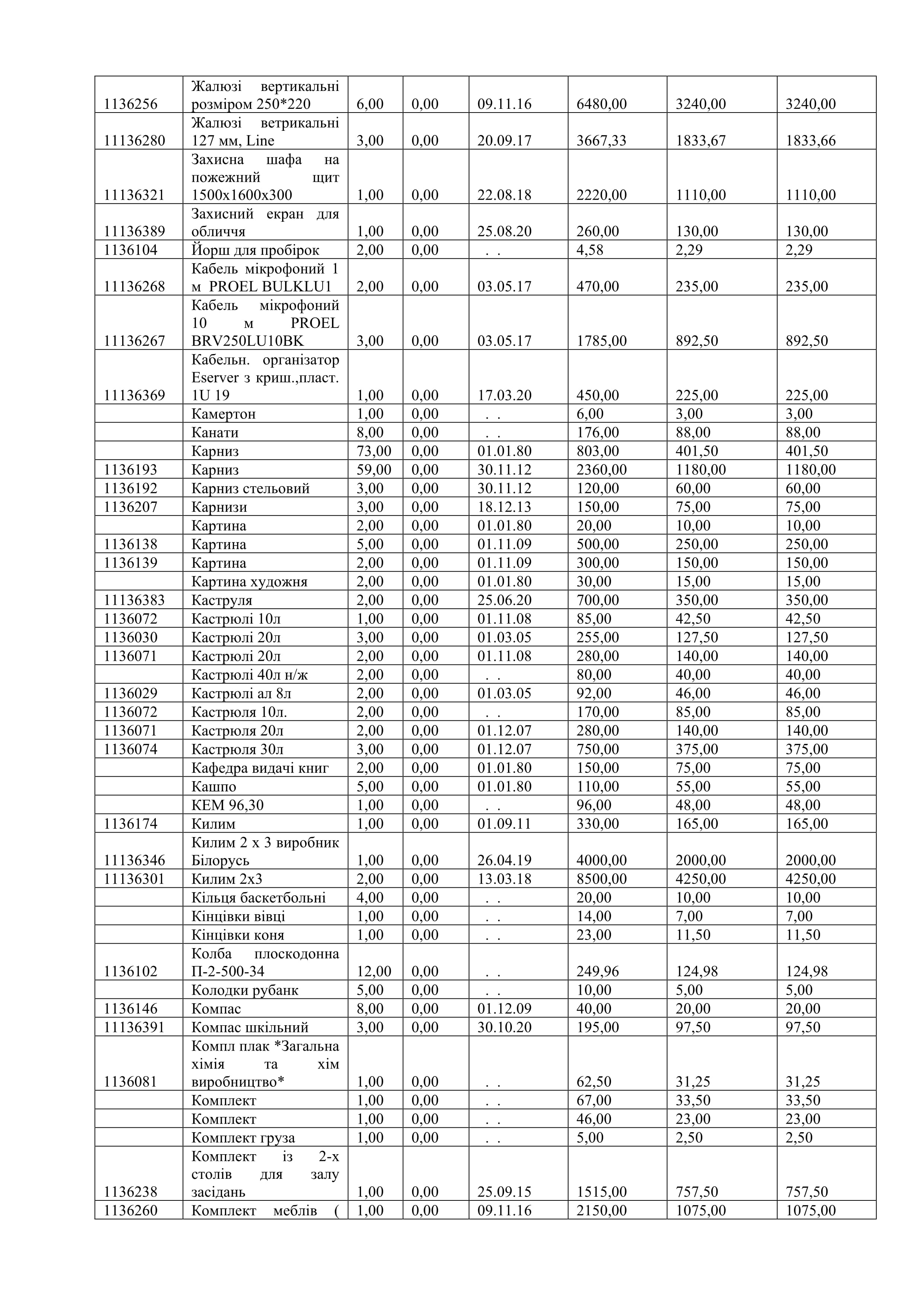
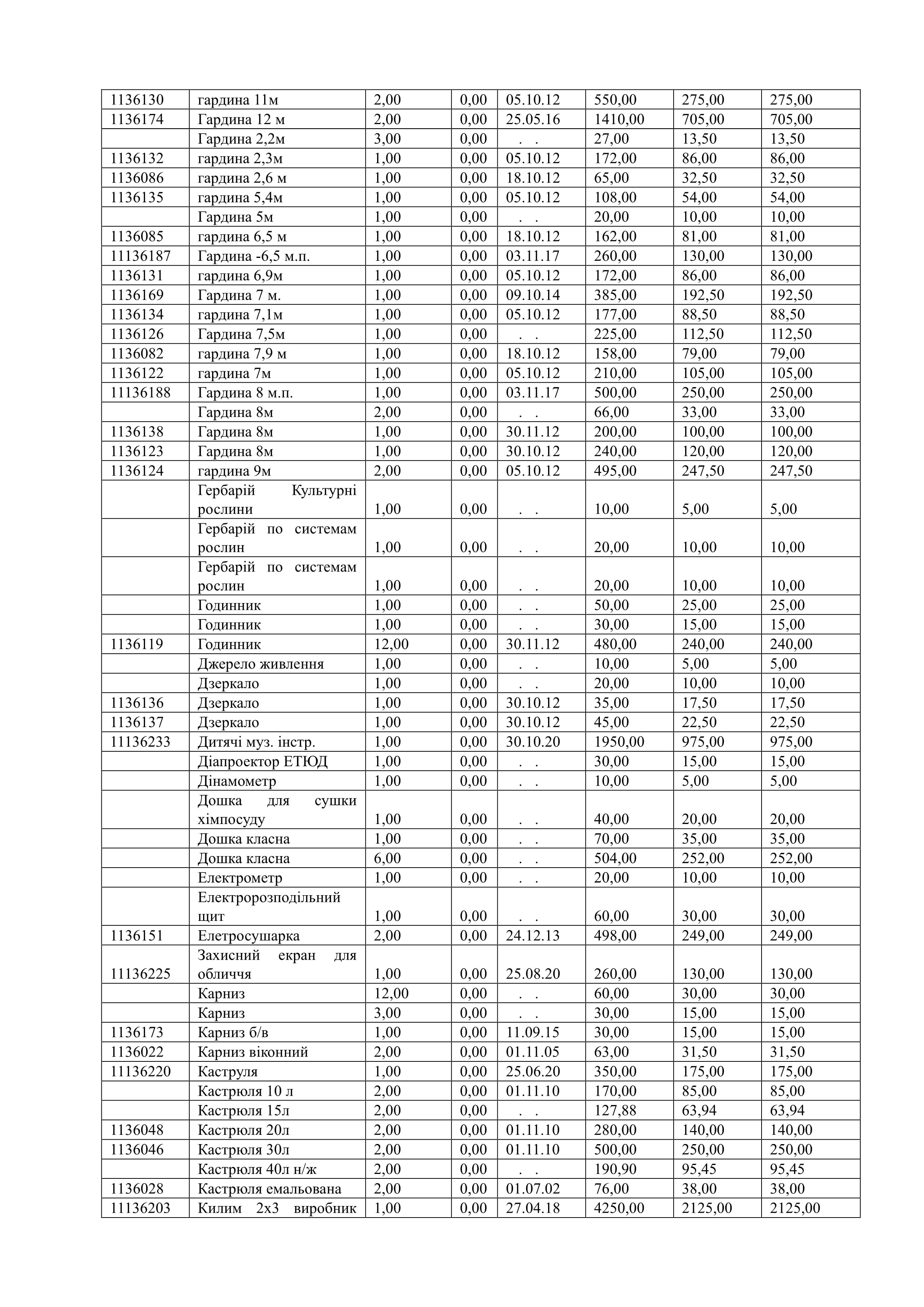
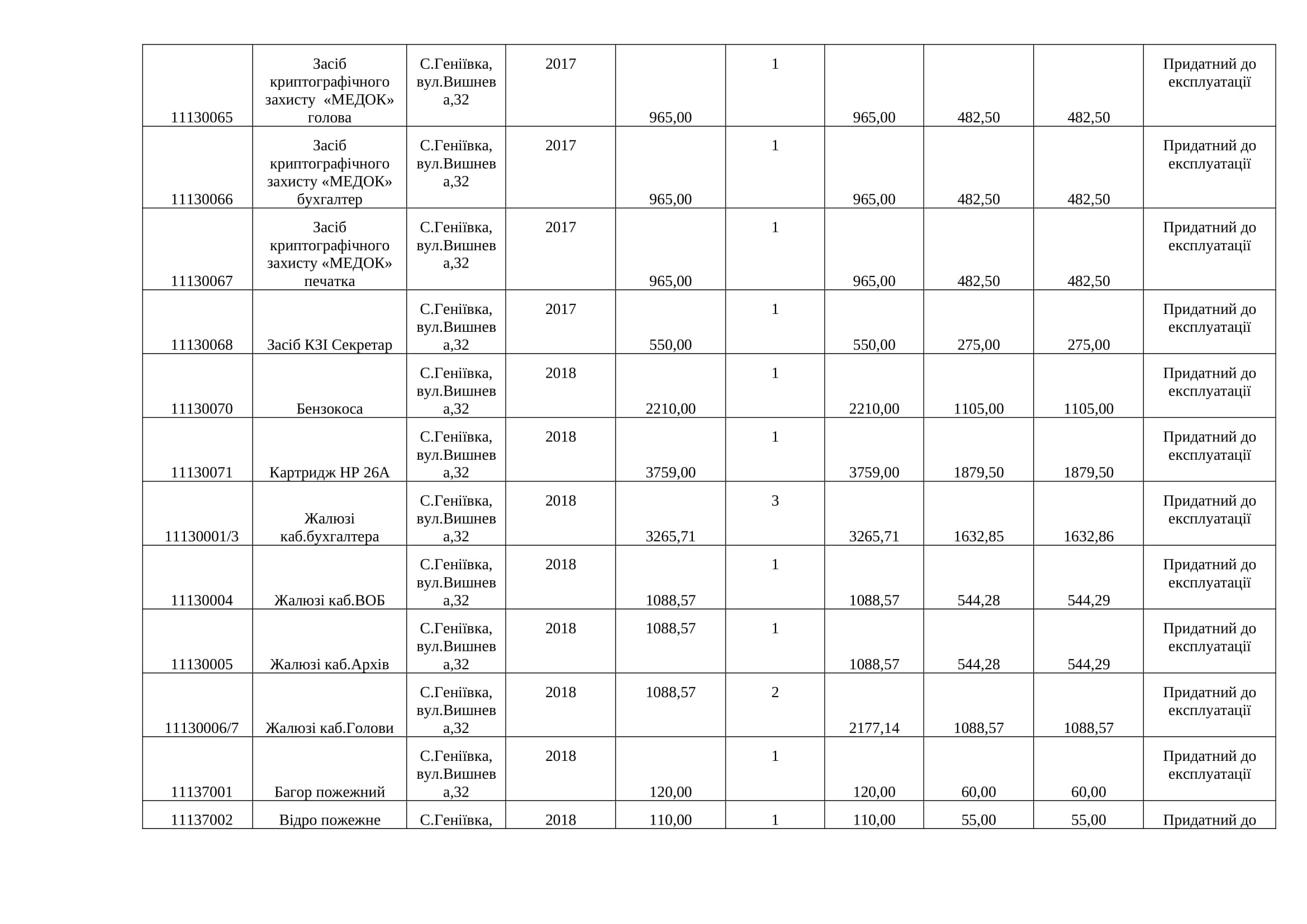
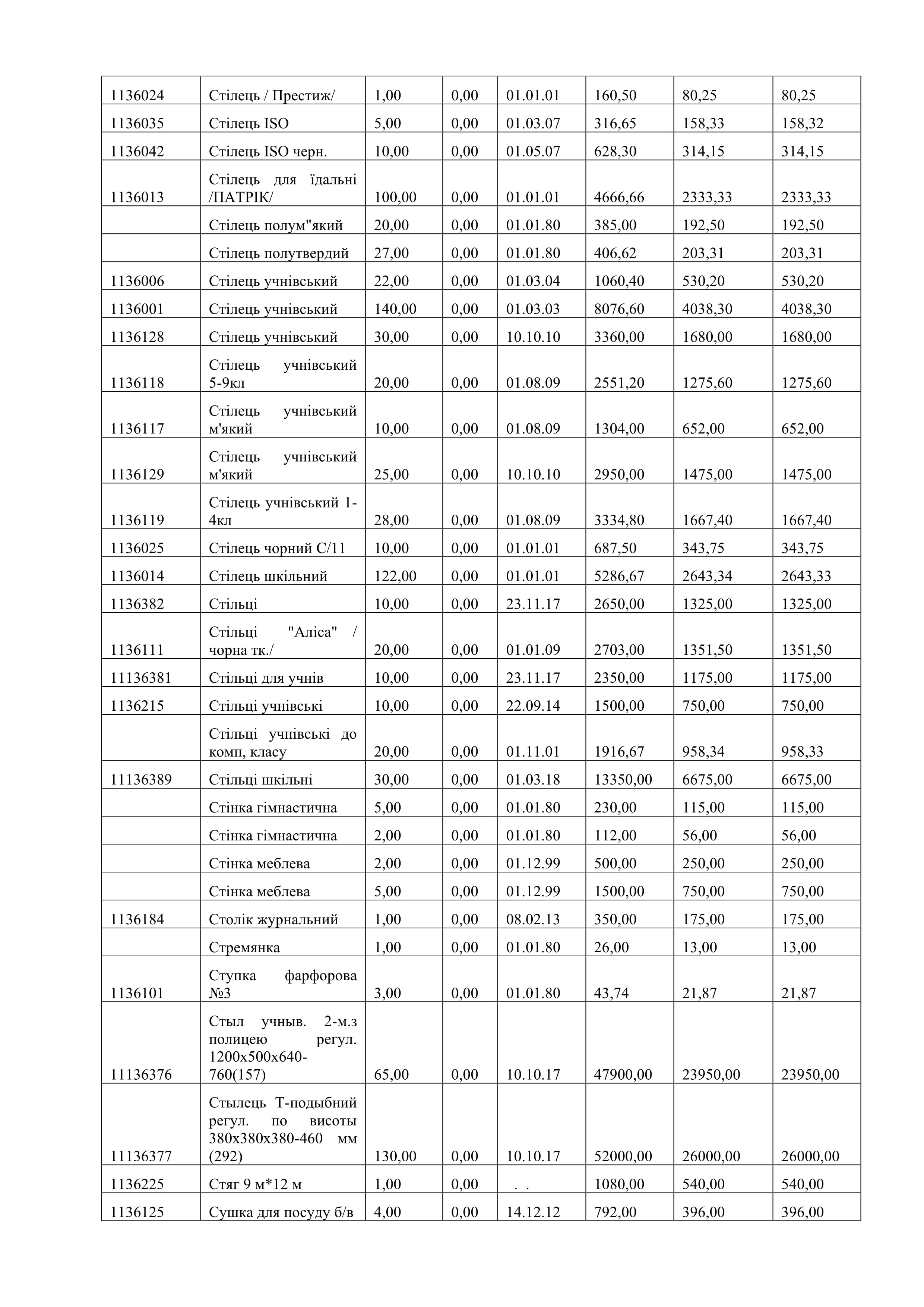
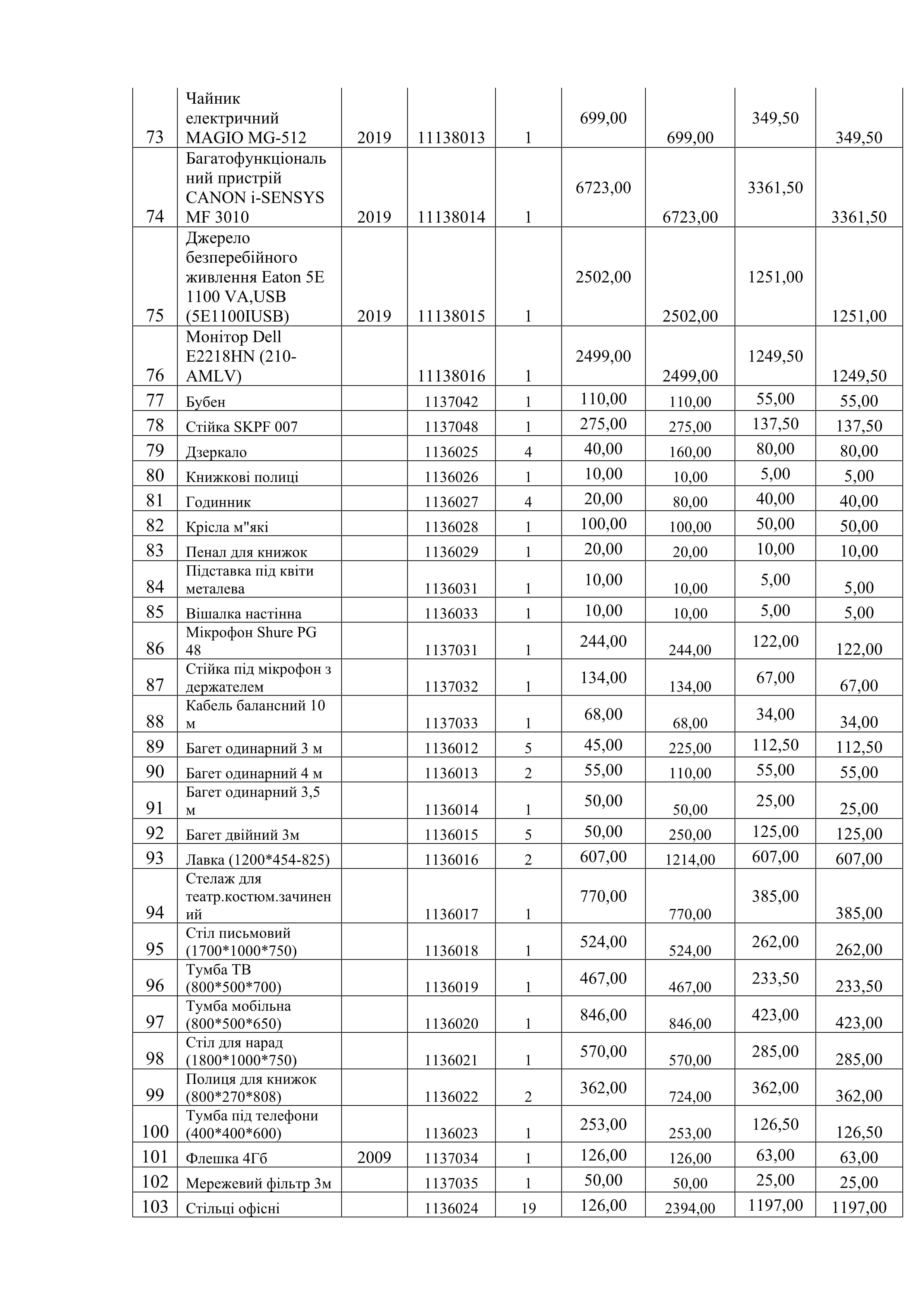
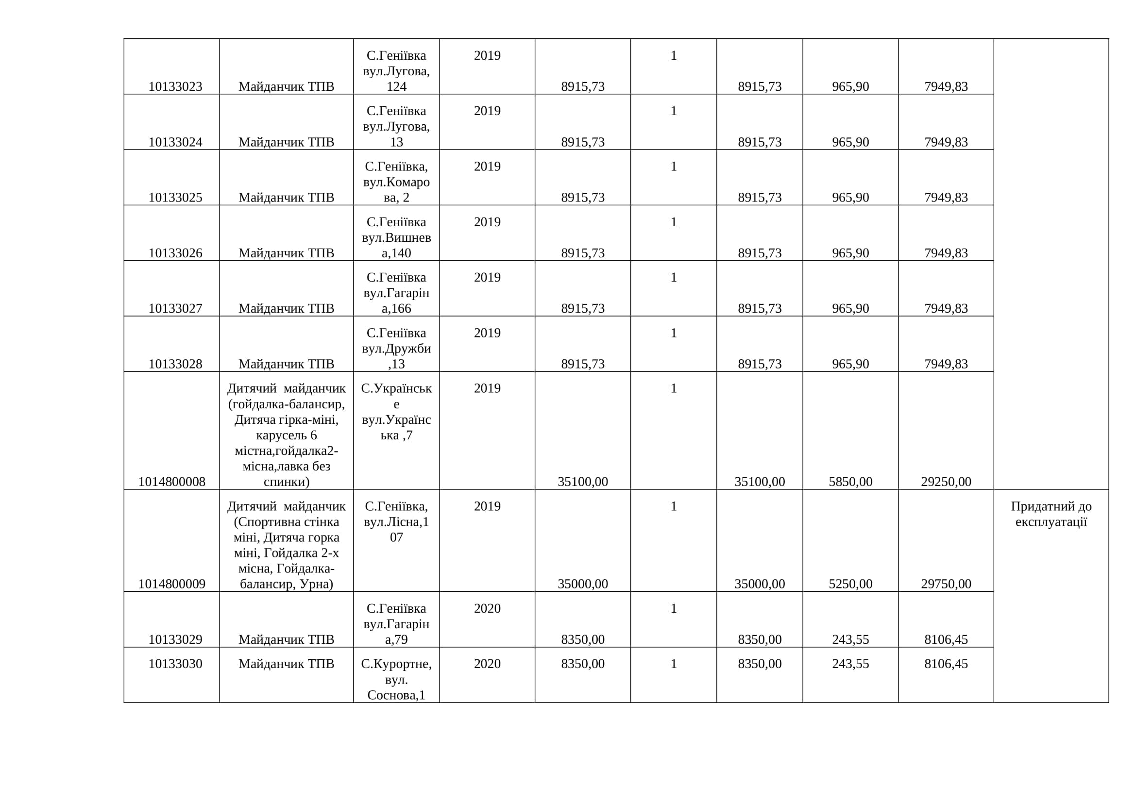
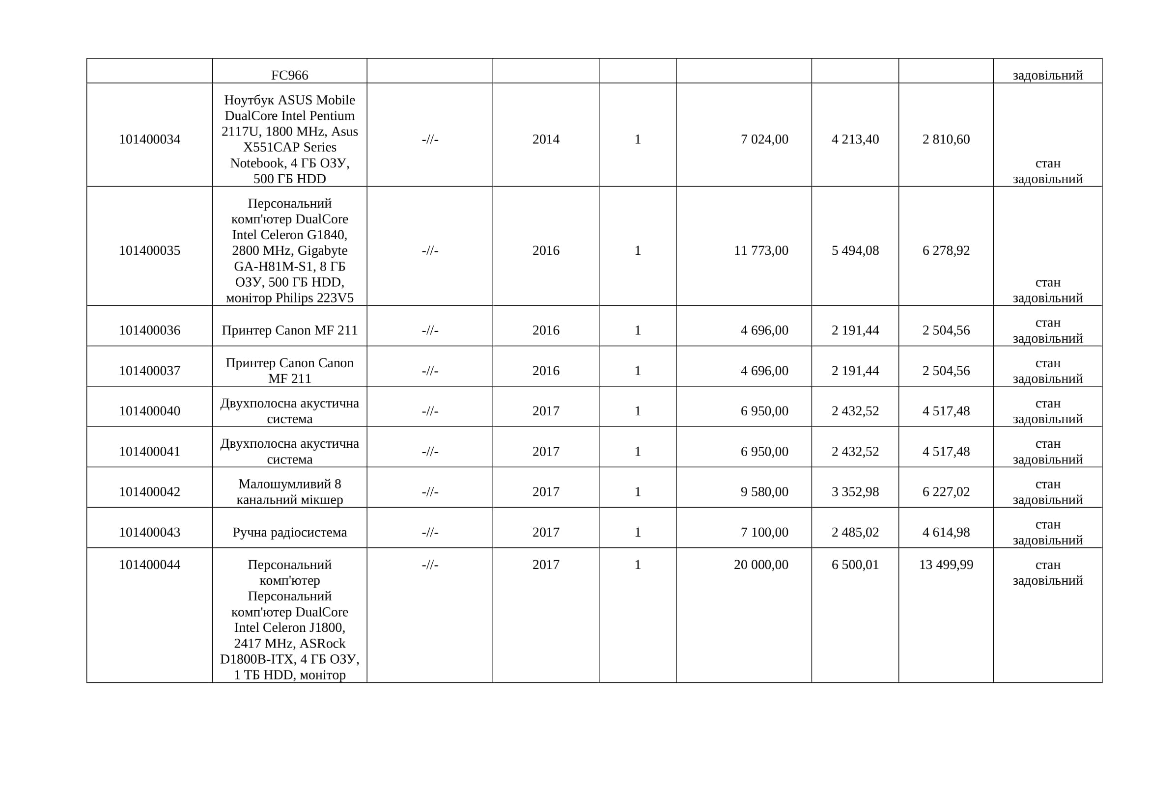
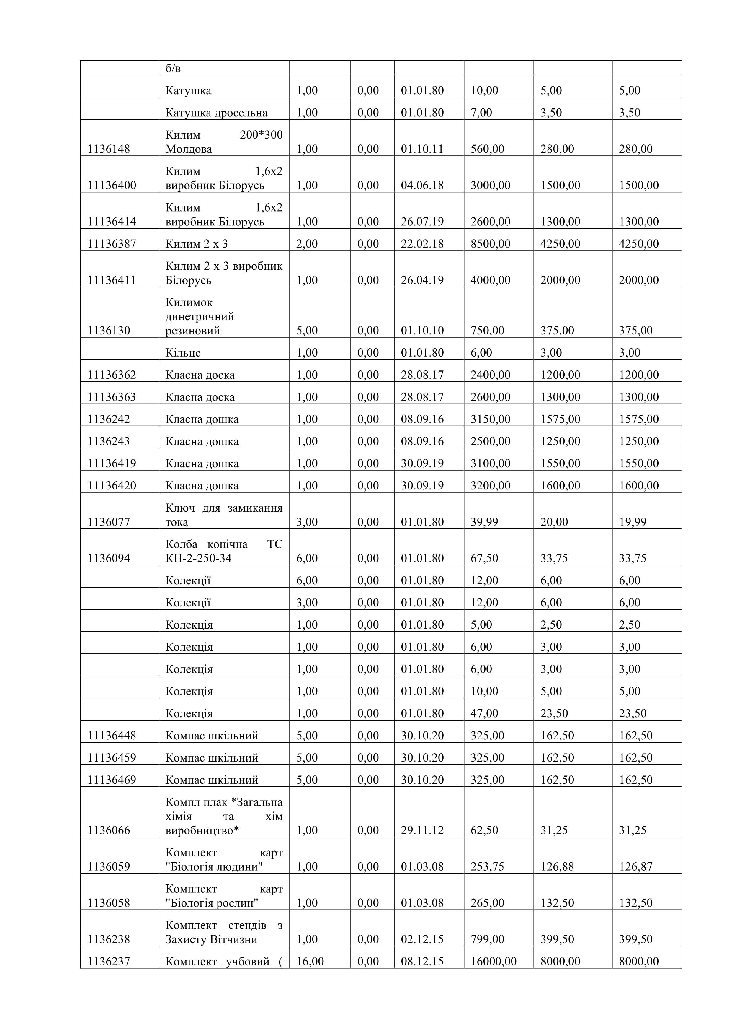
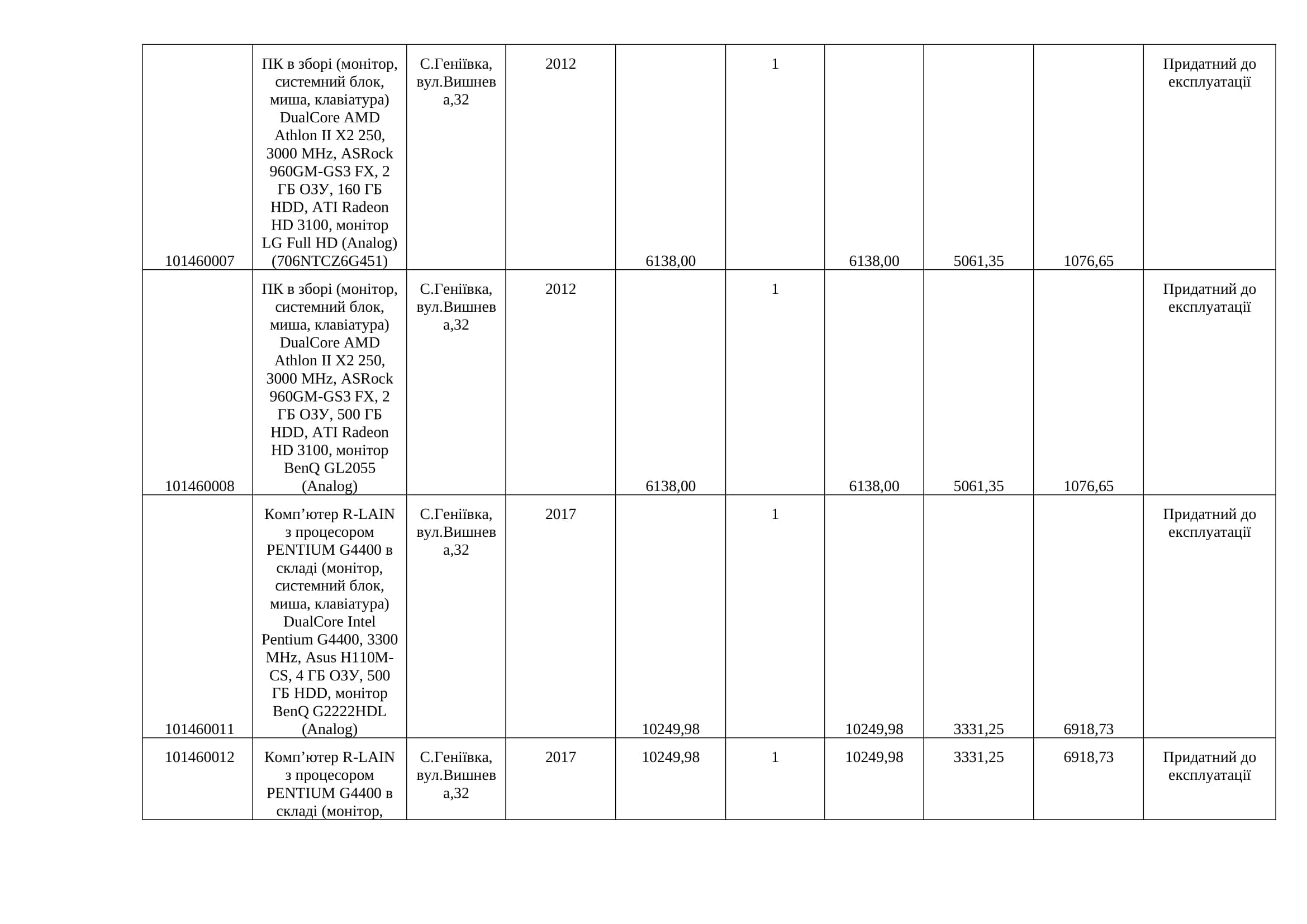
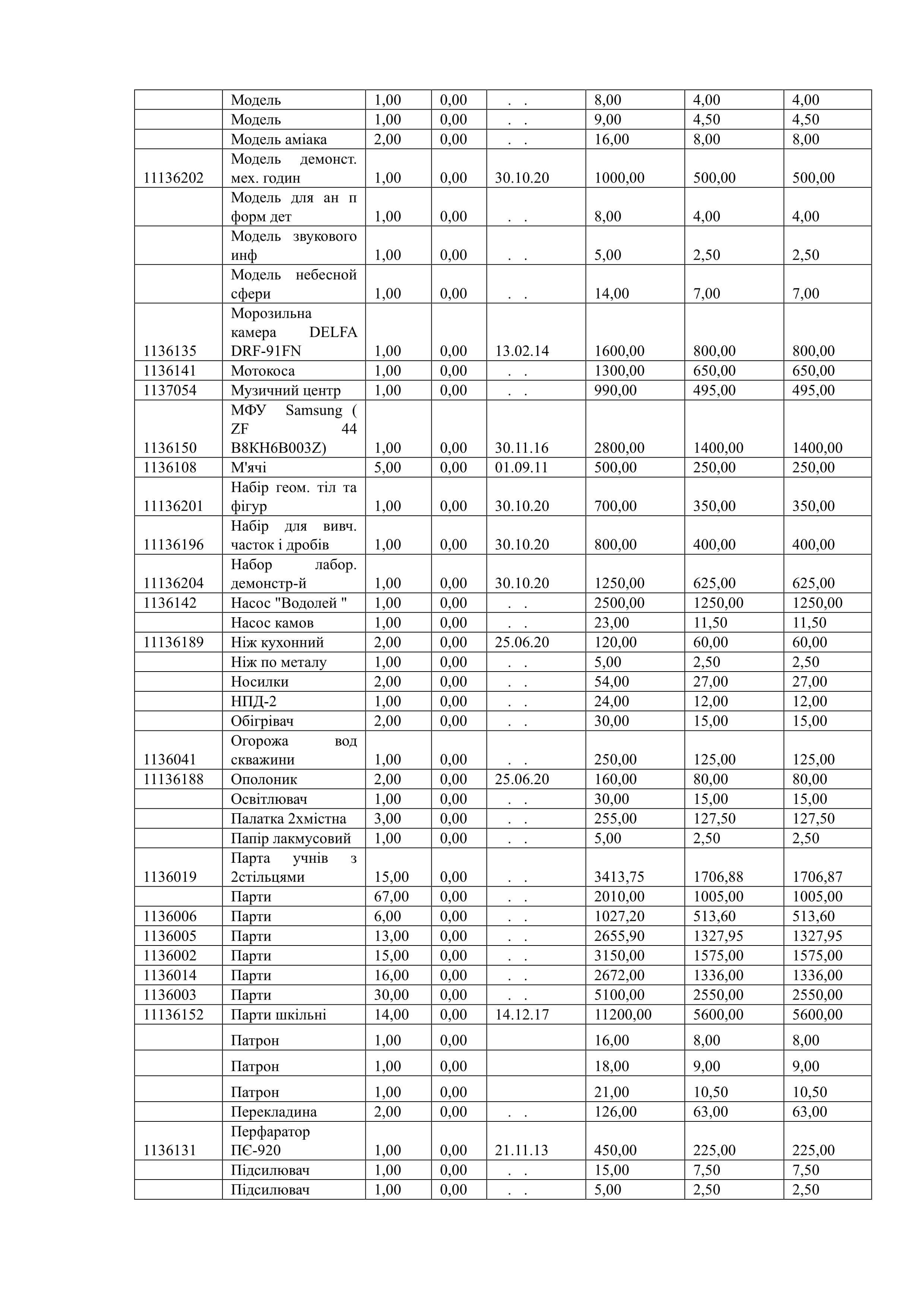
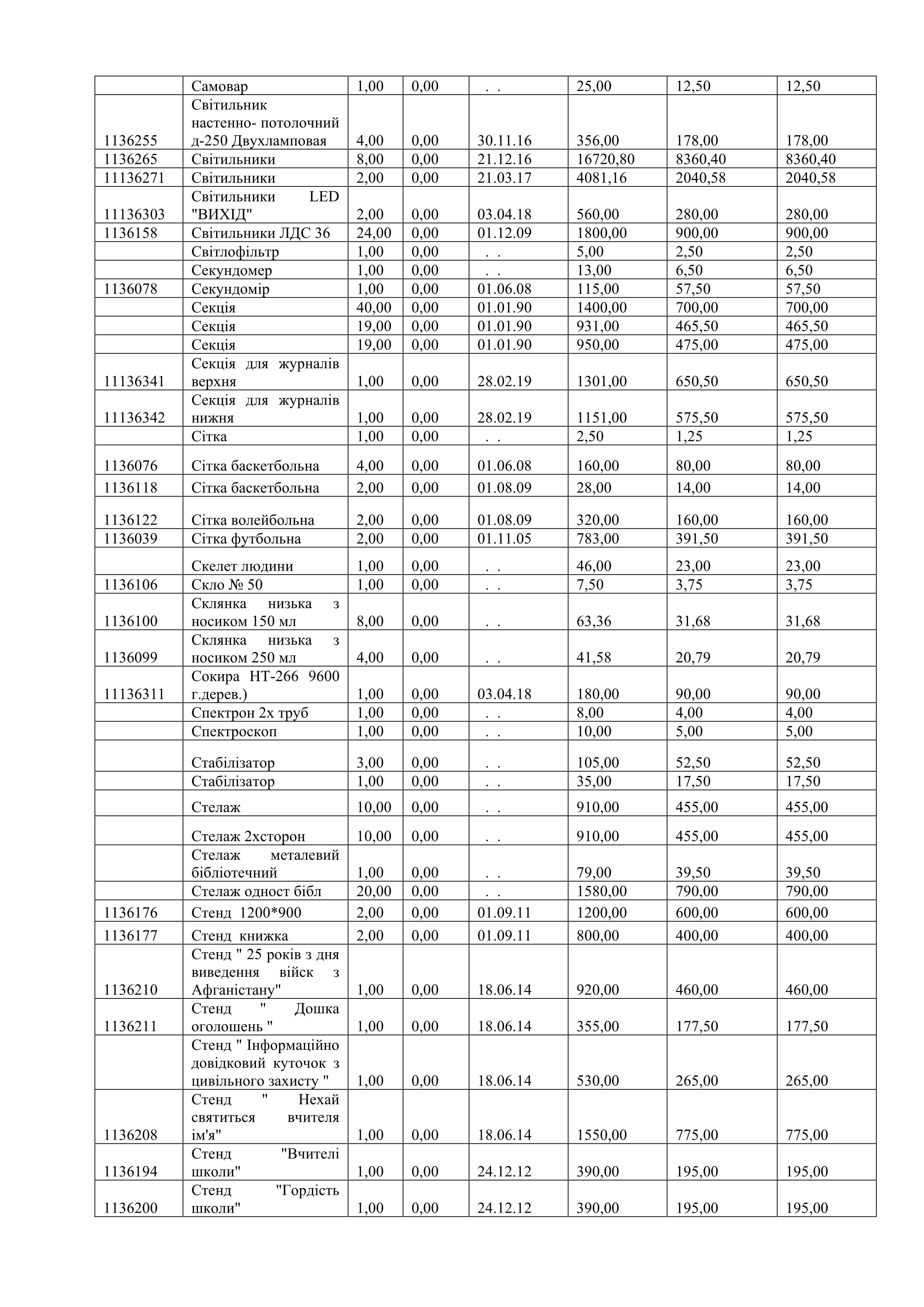
Акт приймання - передачі Геніївська (ЗОШ I-II ст.)

Акт приймання - передачі Геніївська (ЗОШ I-III ст.)

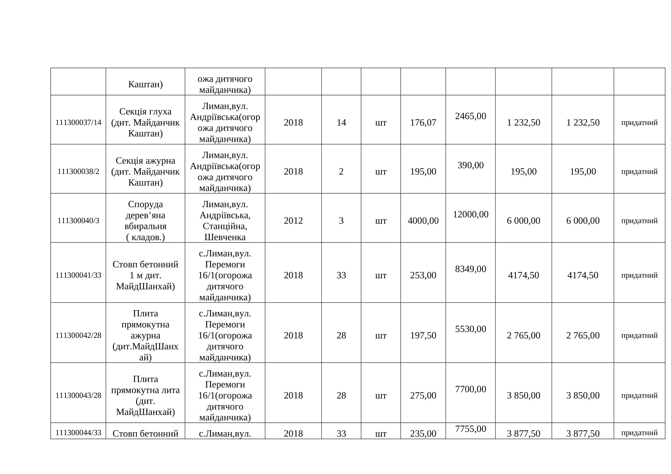
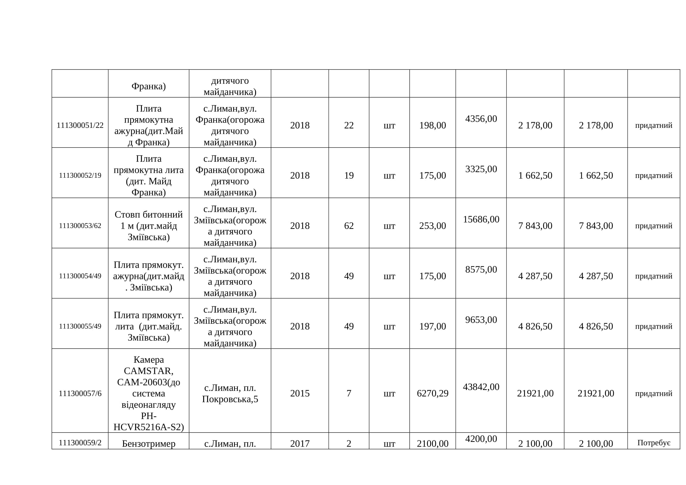
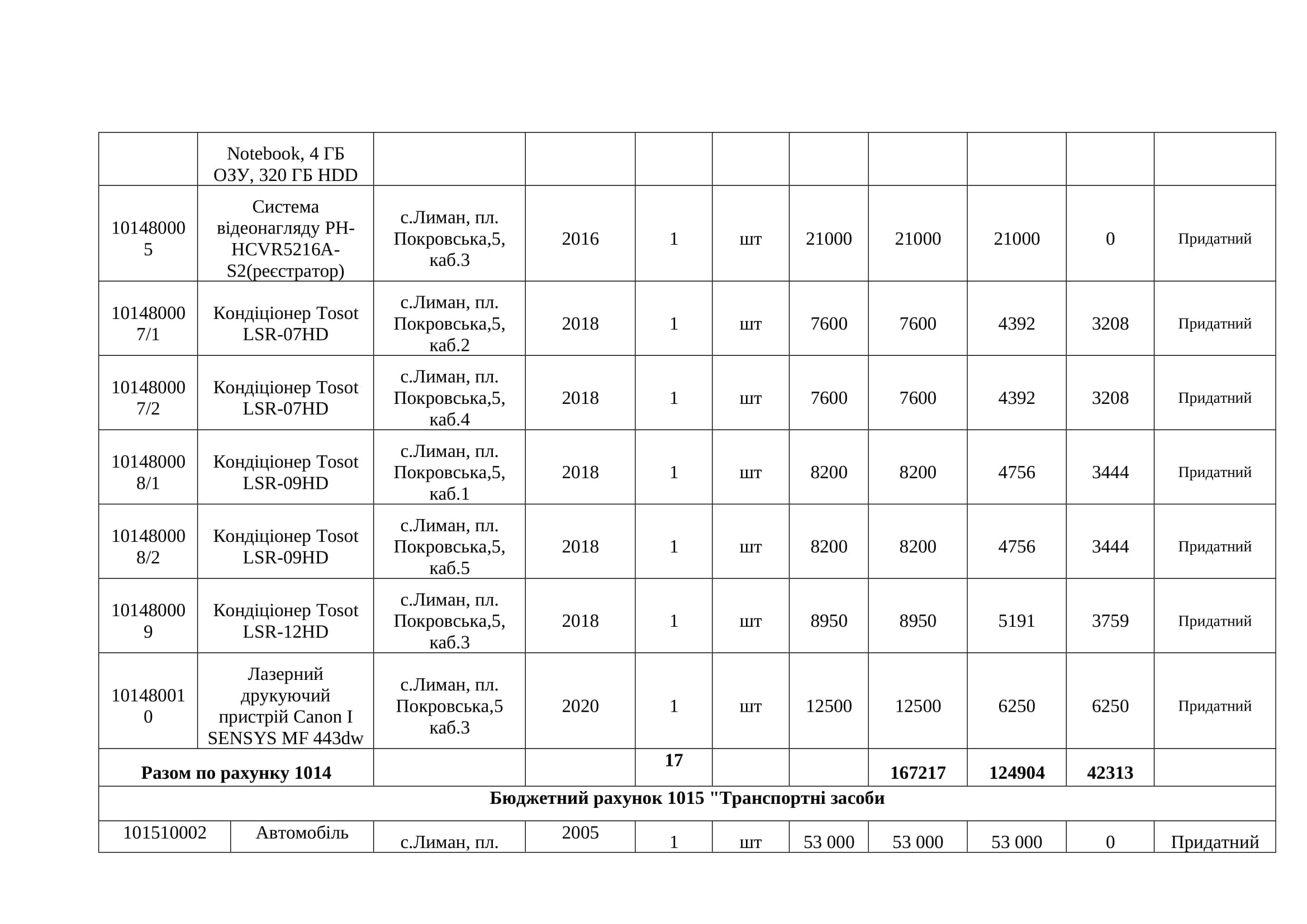
Акт приймання - передачі Лиманська (ЗОШ)

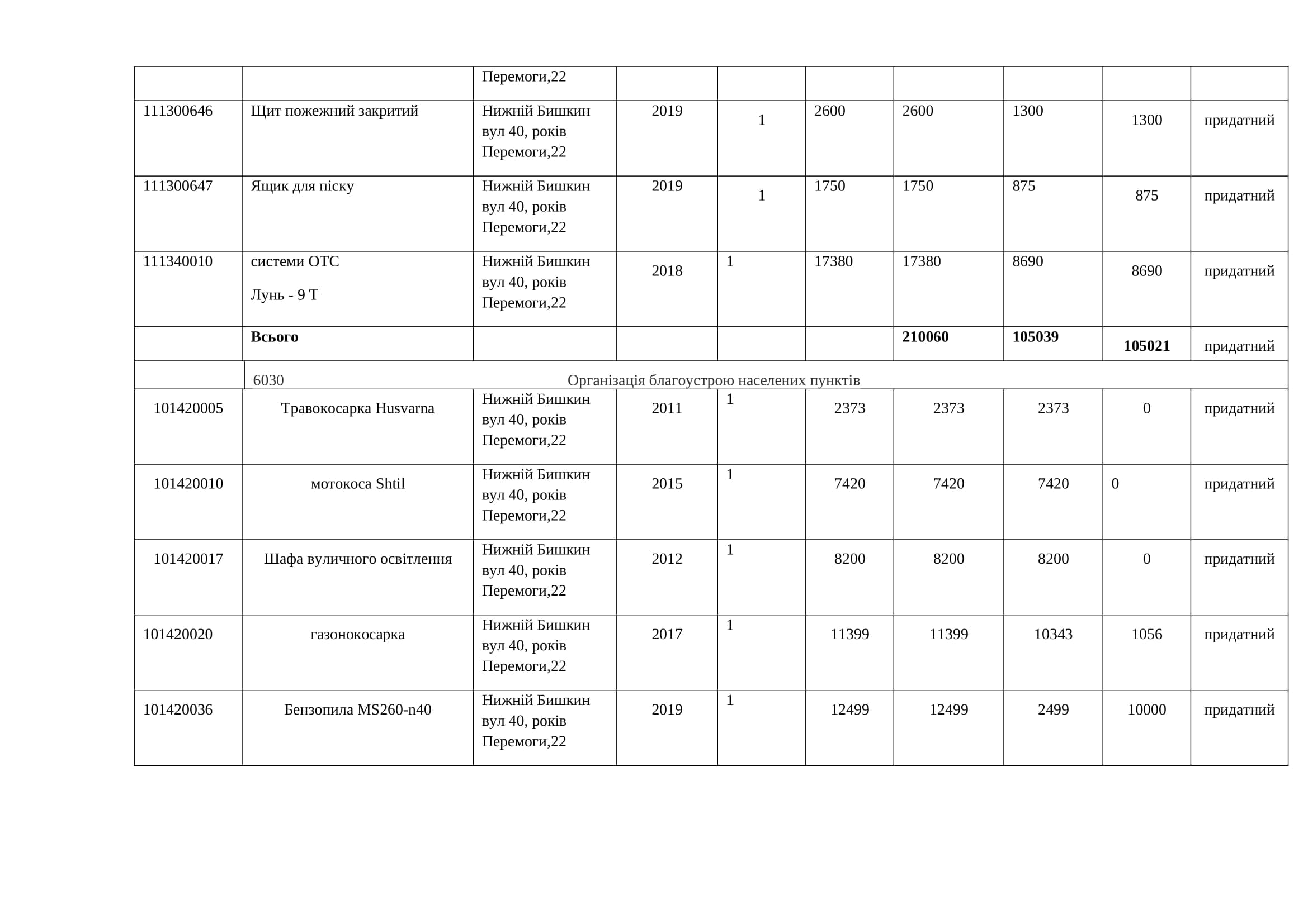
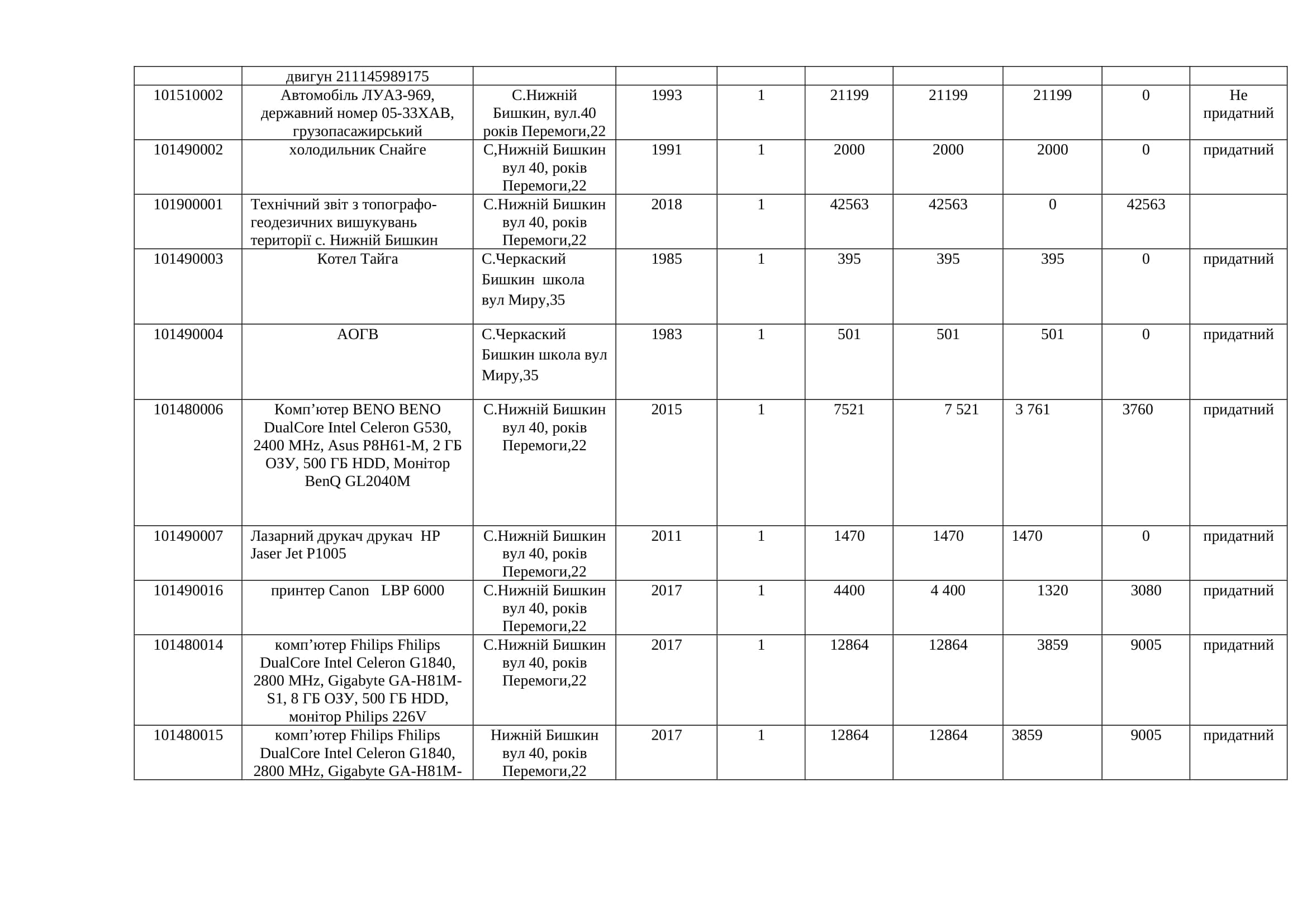
Акт приймання - передачі Нижньобишкинська (ЗОШ)

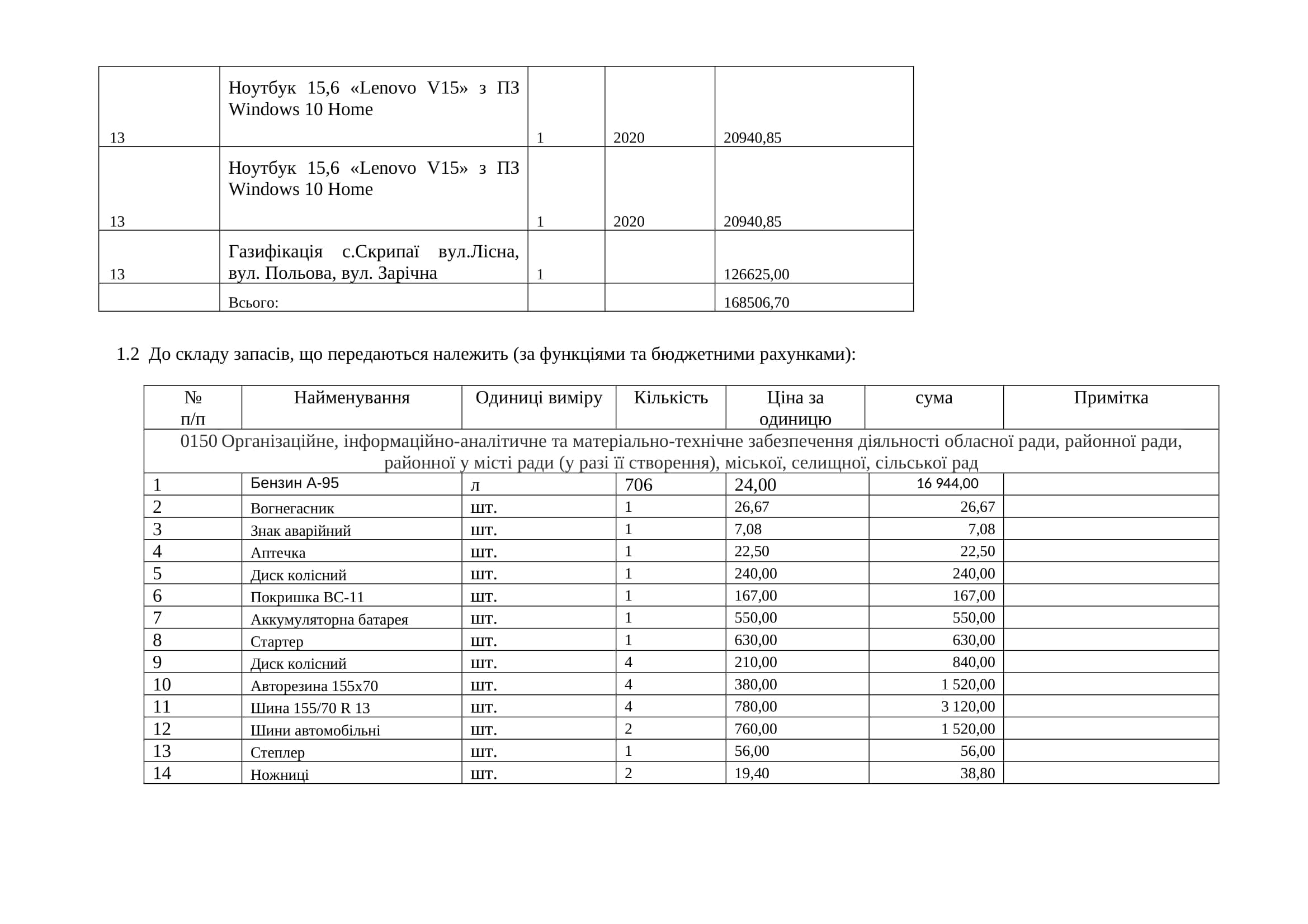
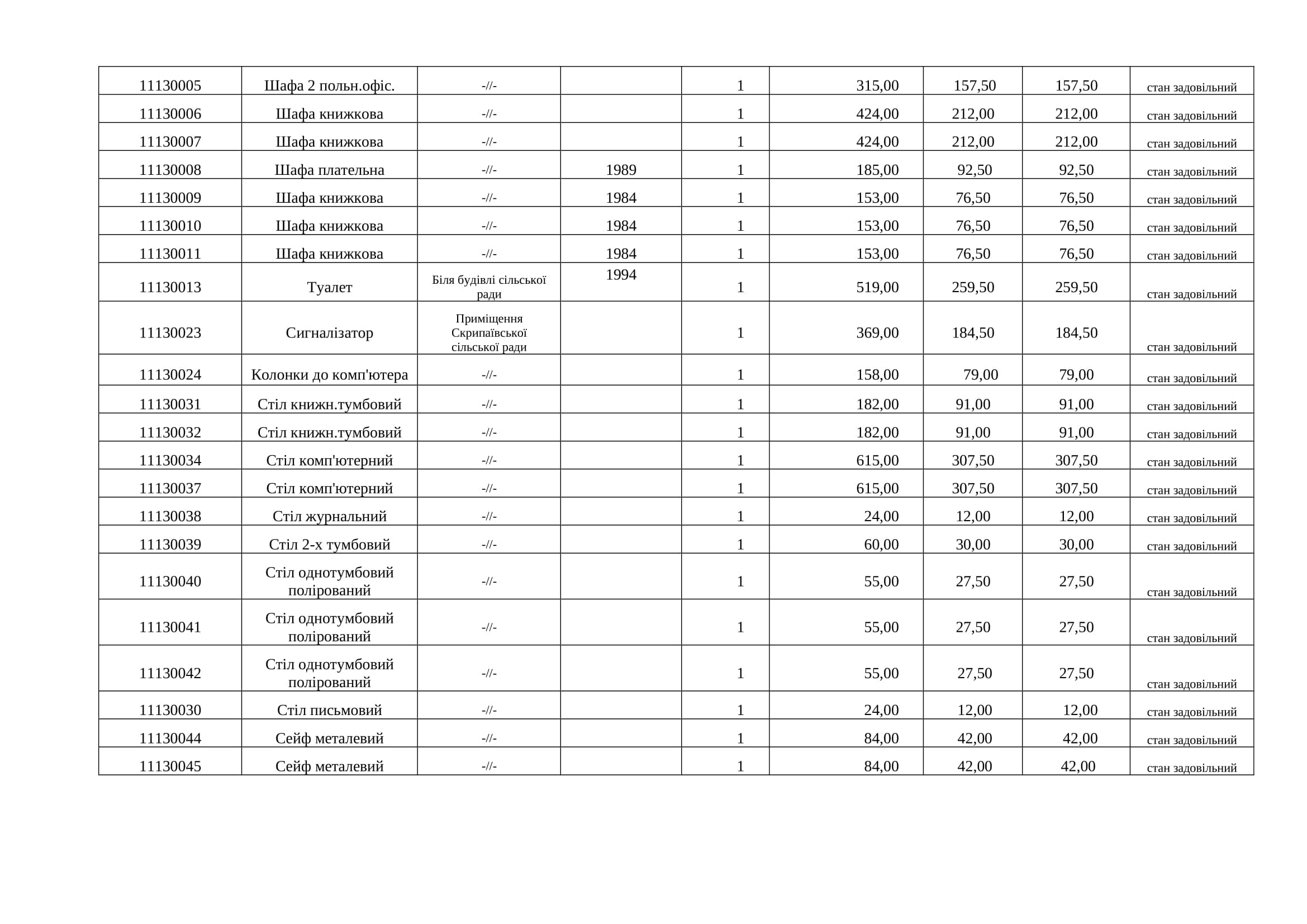
Акт приймання - передачі Скрипаївська (ЗОШ)

Акт приймання - передачі Слобожанська (гімназя № 2)

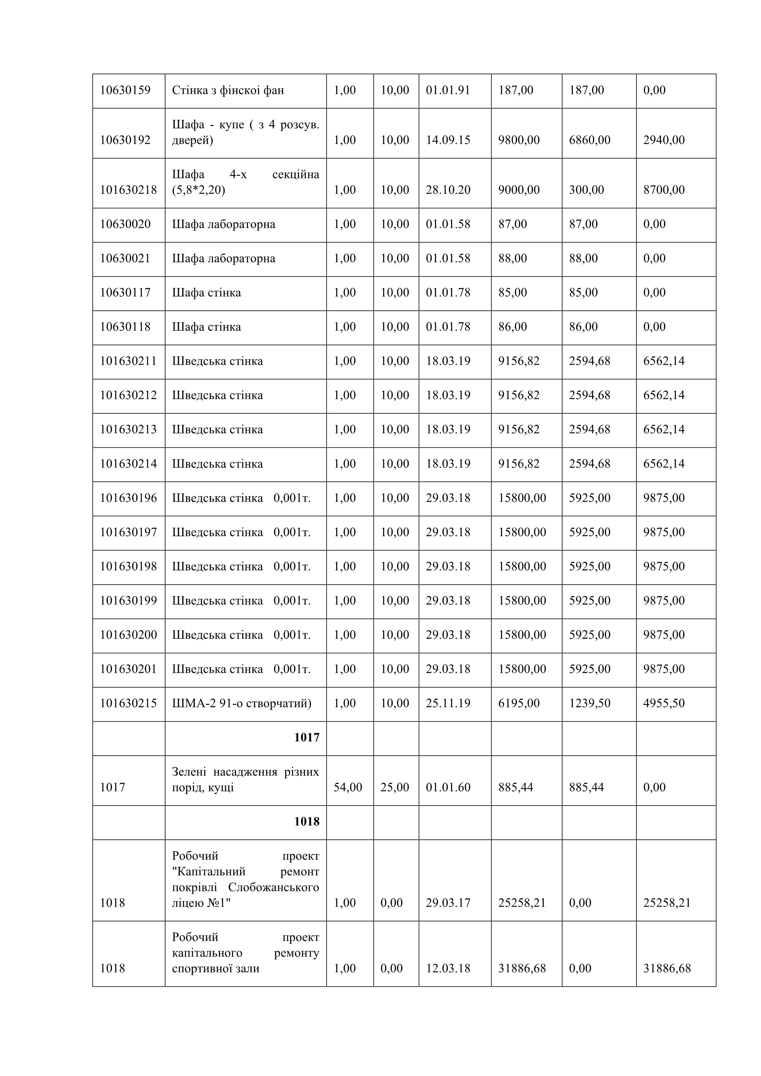
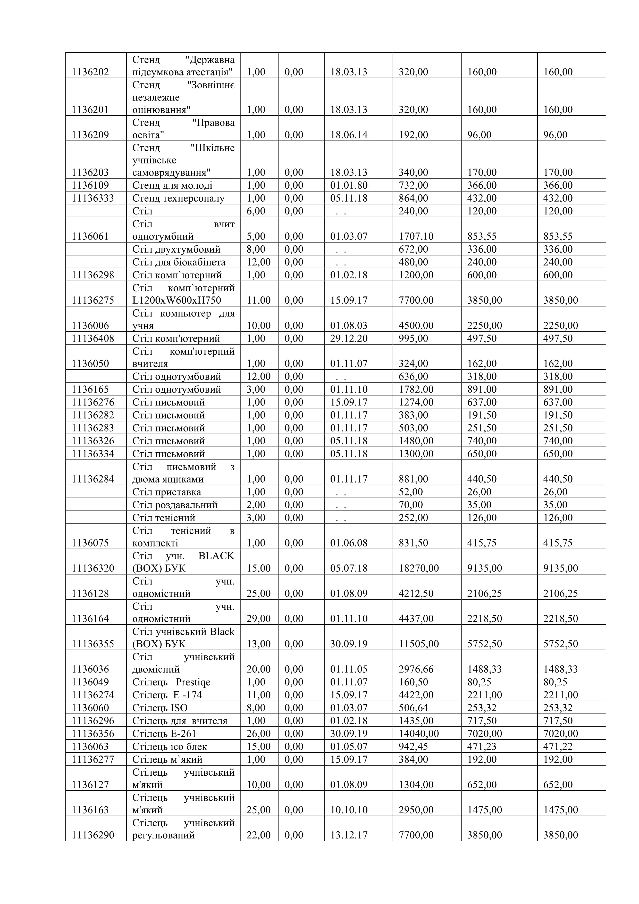
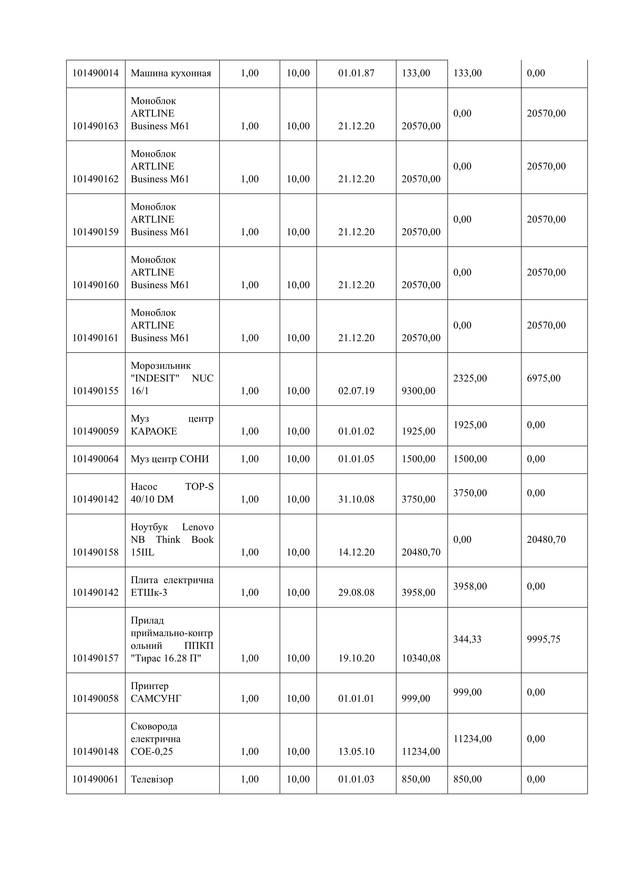
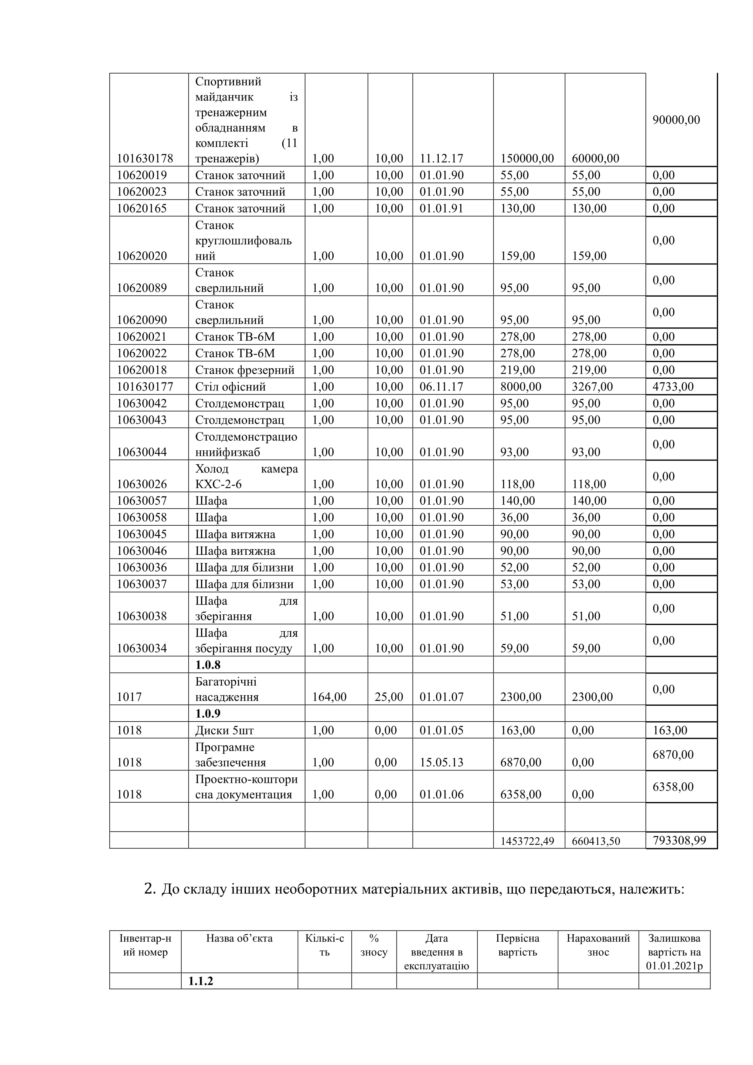
Акт приймання - передачі Слобожанський (ліцей № 1)

Акт приймання - передачі Шебелинська (ЗОШ) Благодатська (філія)

Акт приймання - передачі Шелудьківський (ліцей)

Рішення сесії №174-VIII Про затвердження Актів приймання-передачі майна (Слобожанської музичної школи), що передаються зі спільної власності територіальних громад сіл, селищ, міст Зміївського району до комунальної власності Слобожанської селищної ради закладів освіти.

Відомість голосування до рішення сесії №174-VIII

Текст рішення сесії №174-VIII

Акт прийому - передачі Слобожанська дитяча музична школа

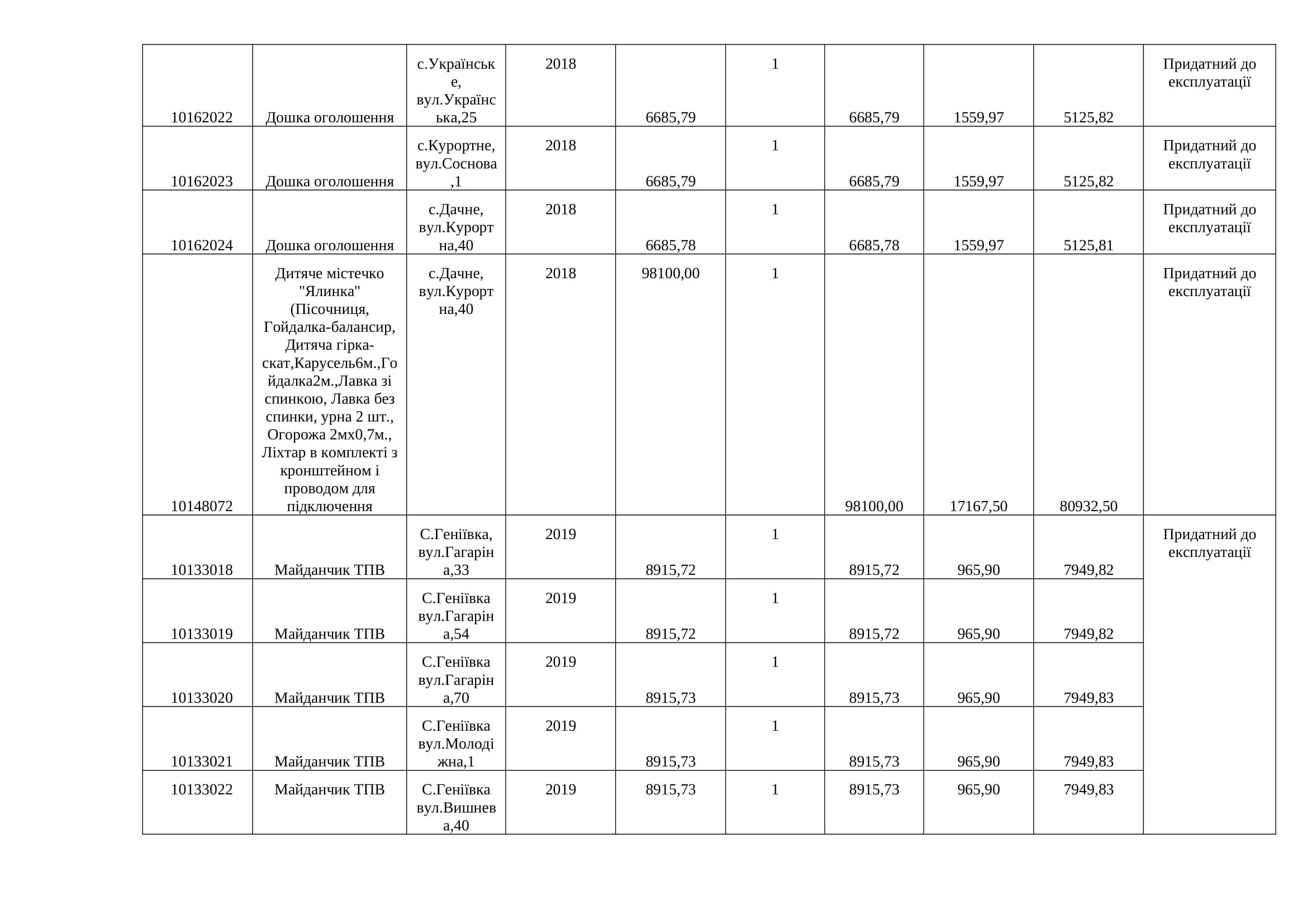
Рішення сесії №175-VIII Про затвердження Передавальних актів розформованих територіальних громад.

Відомість голосування до рішення сесії №175-VIII

Текст рішення сесії №175-VIII

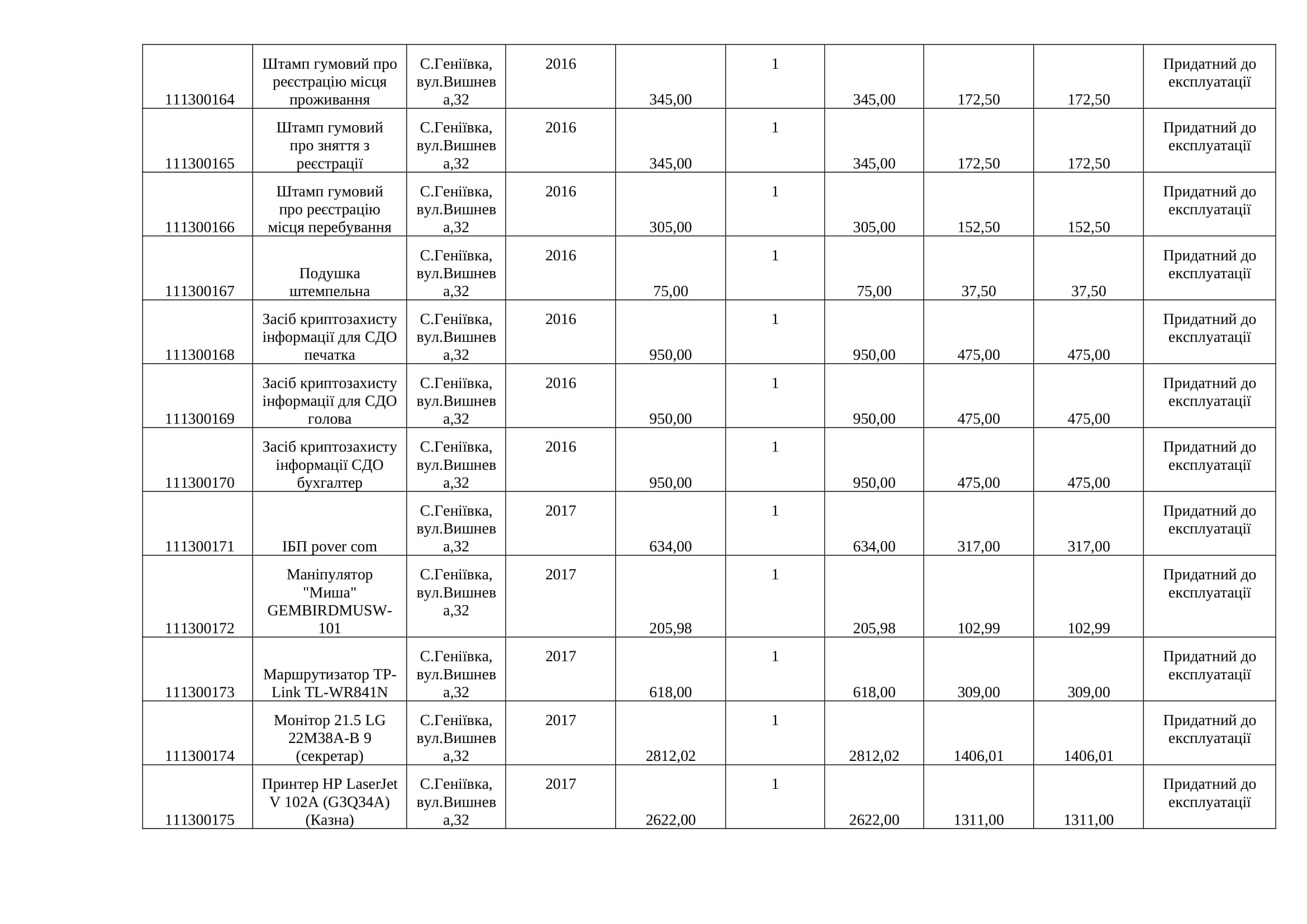
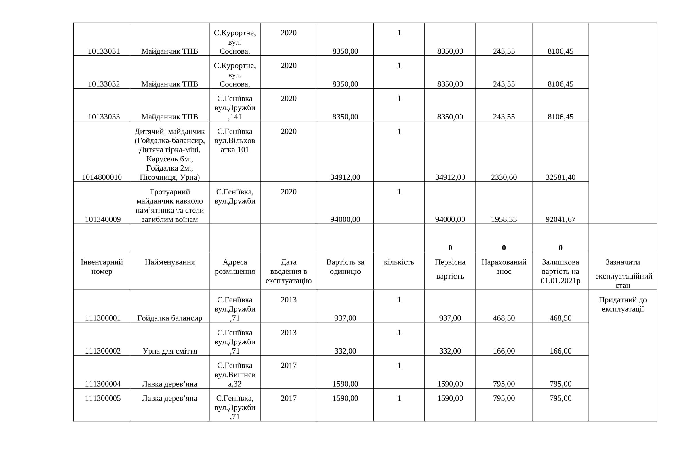
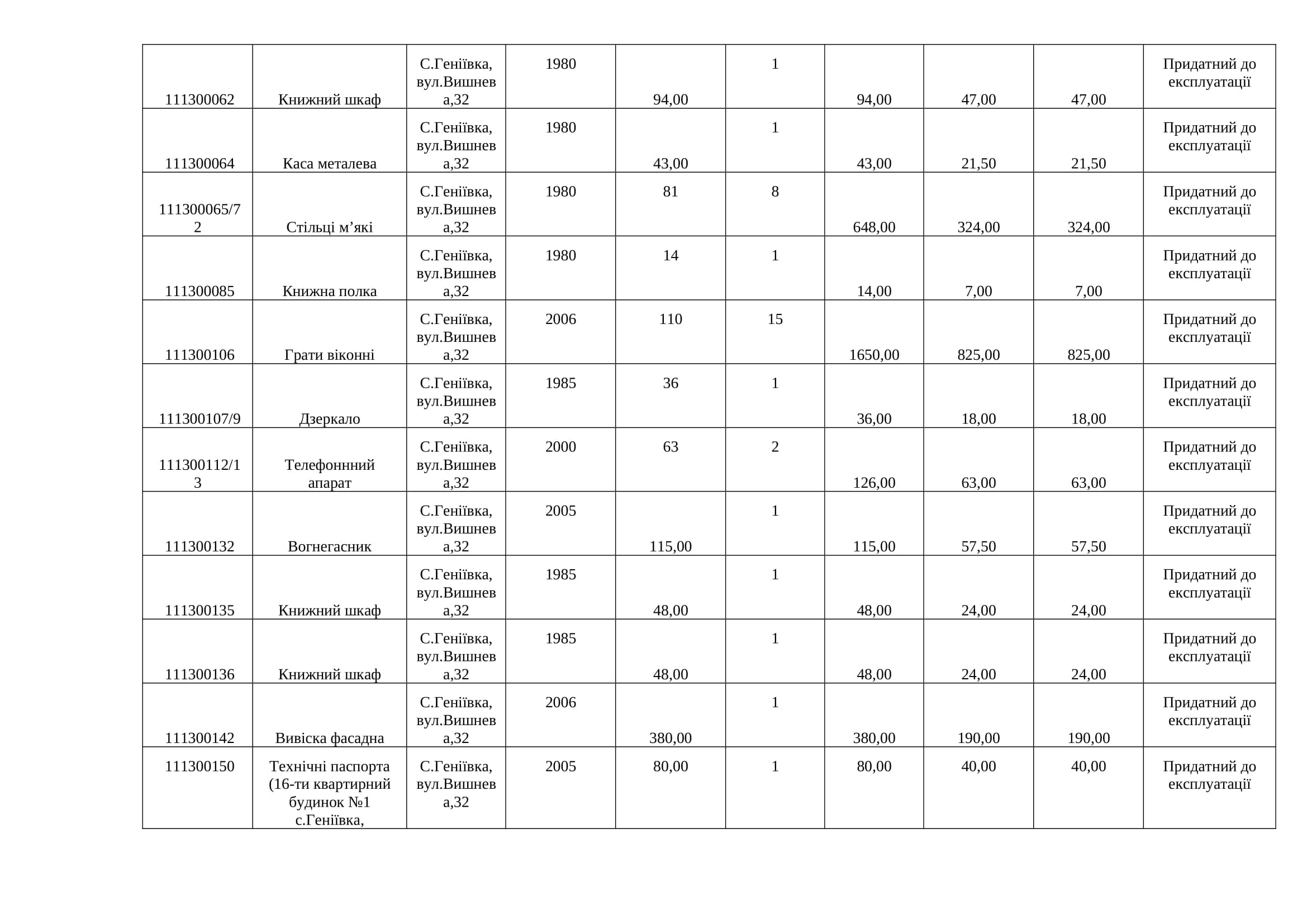
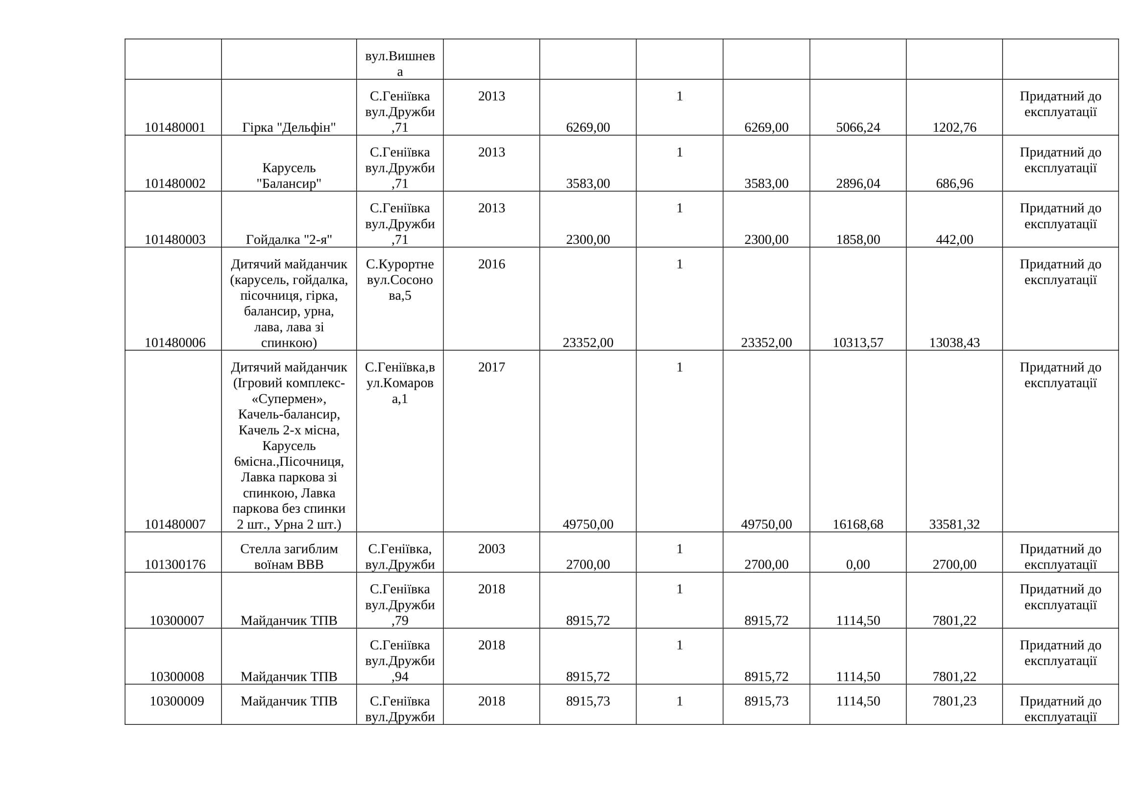
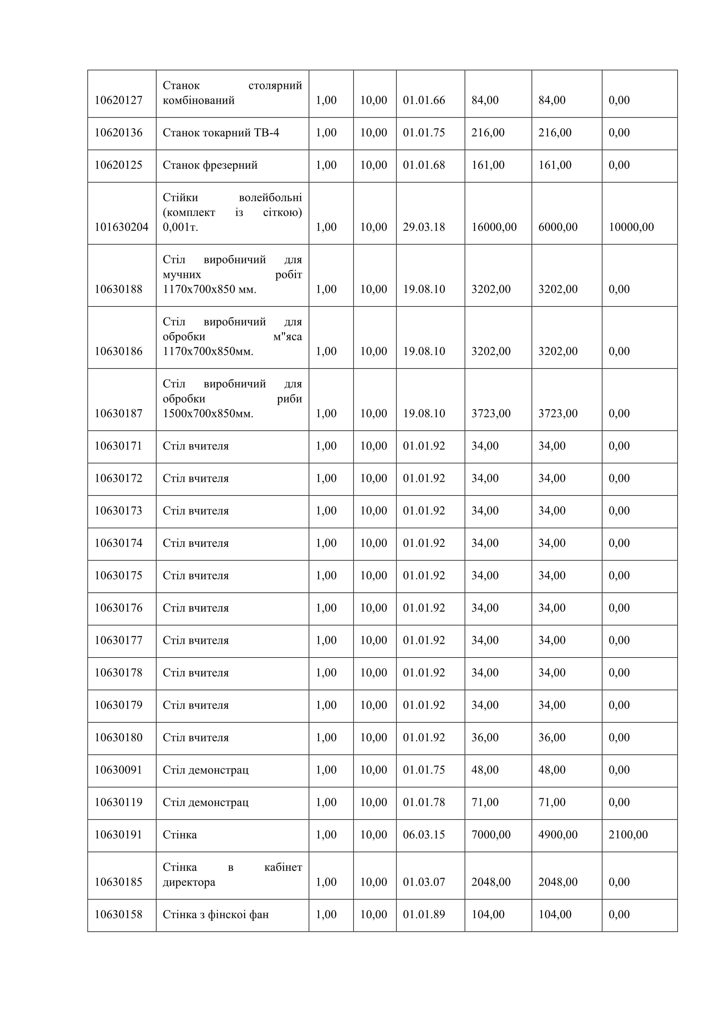
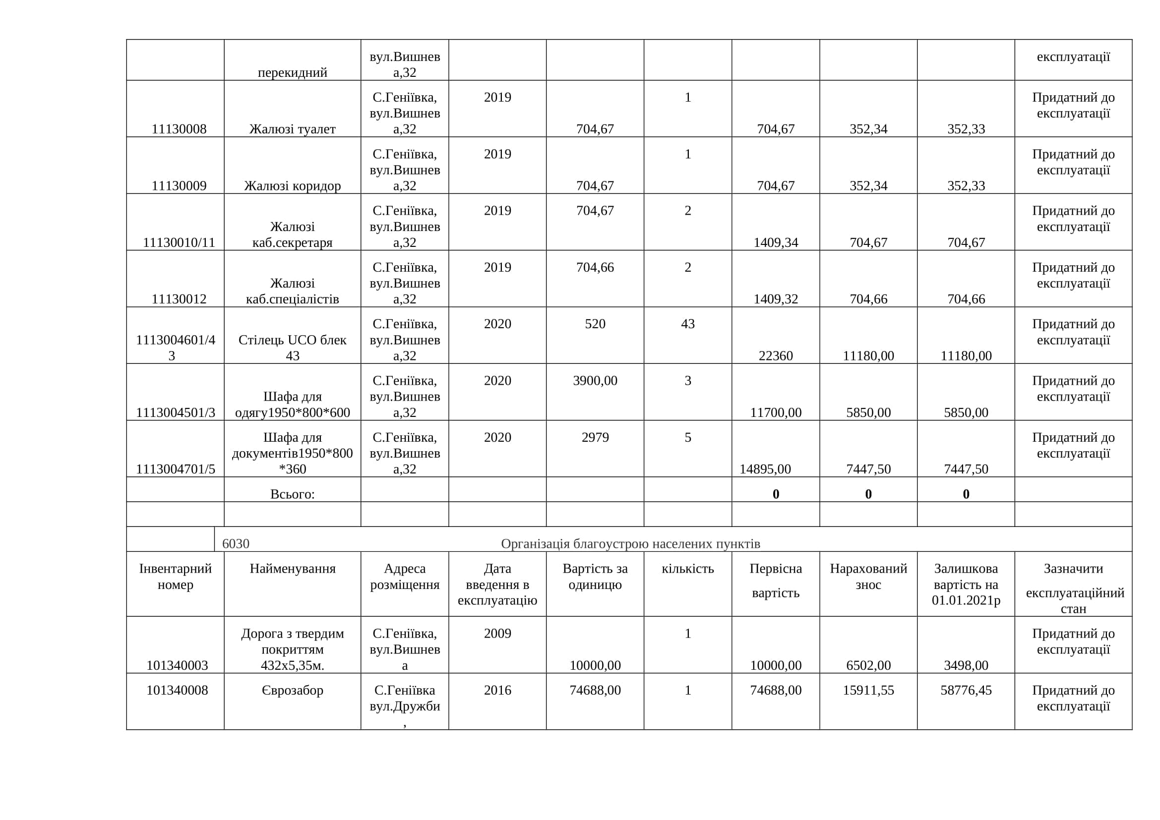
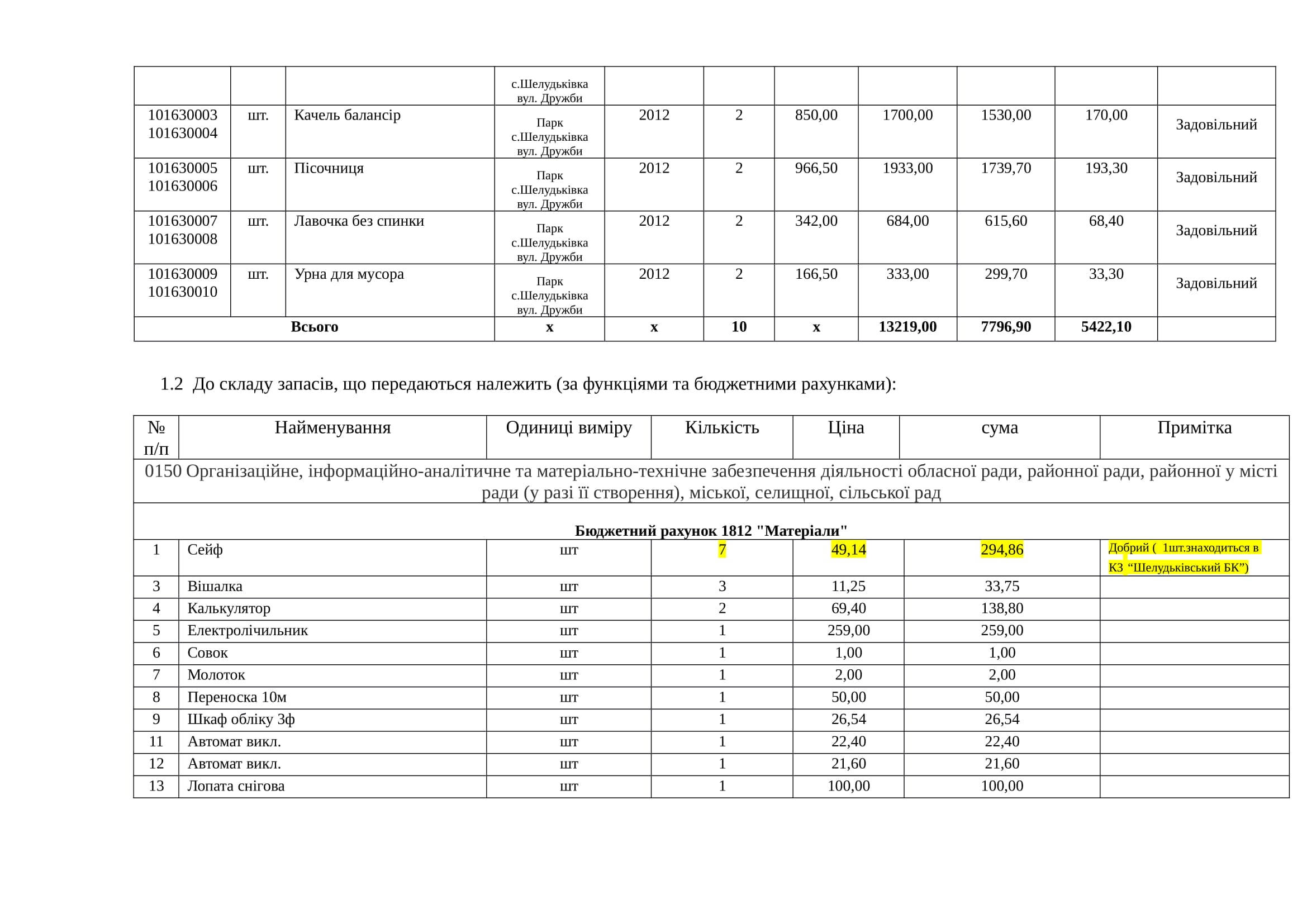
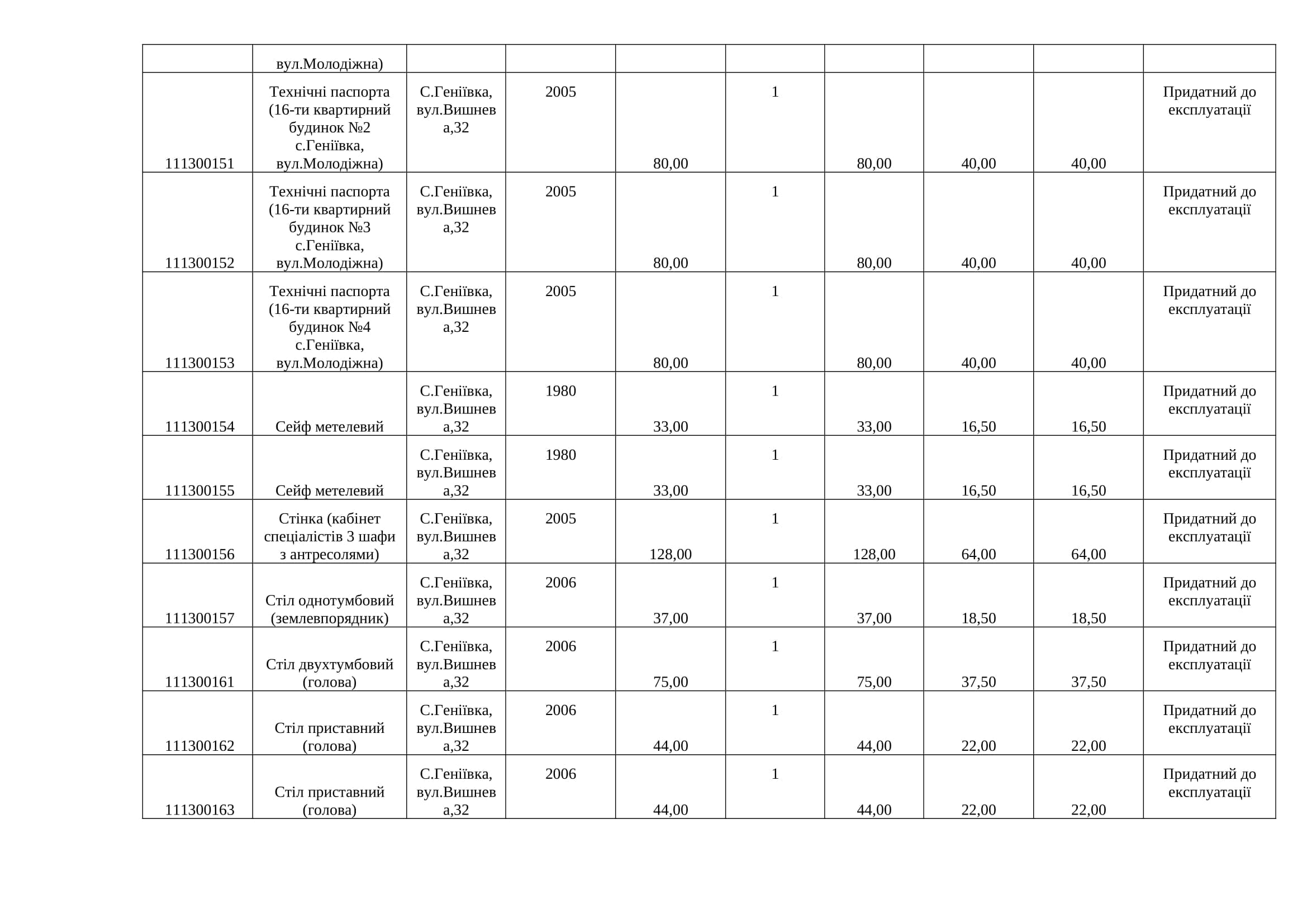
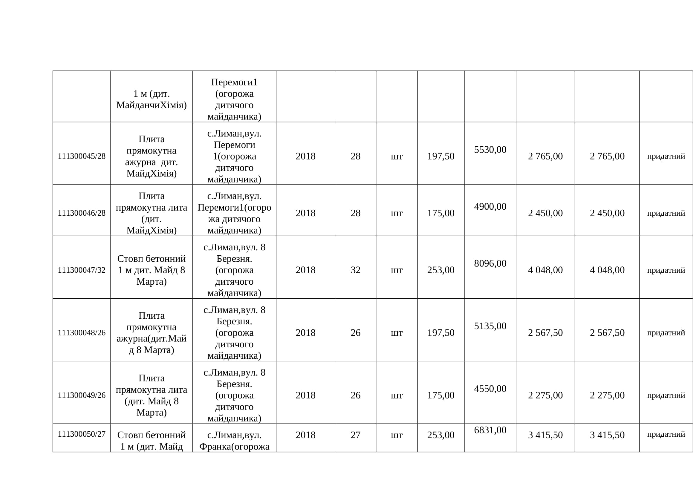
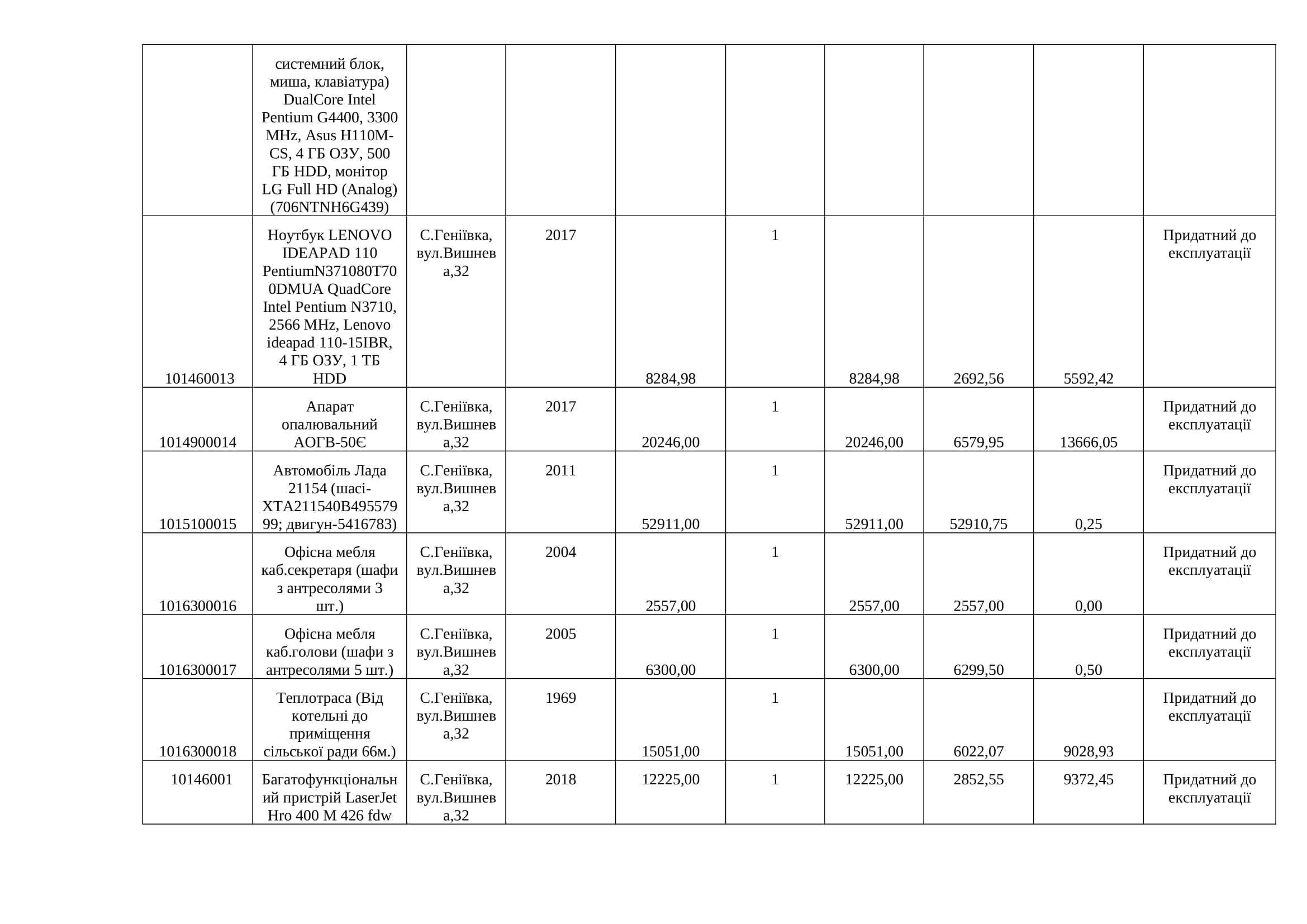
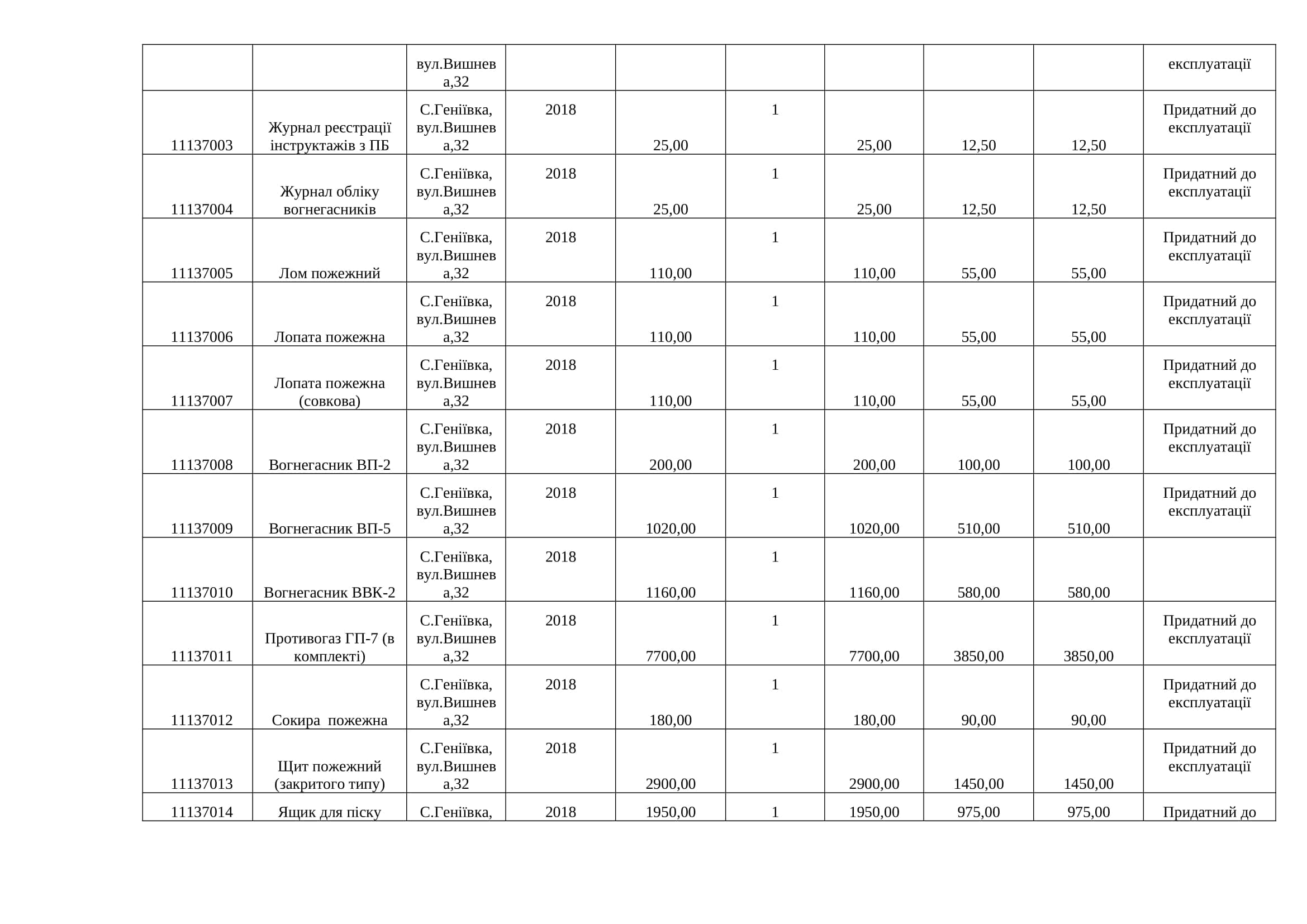
Передавальний акт Геніївська сільська рада

Передавальний акт Нижньобишкинської сільської ради

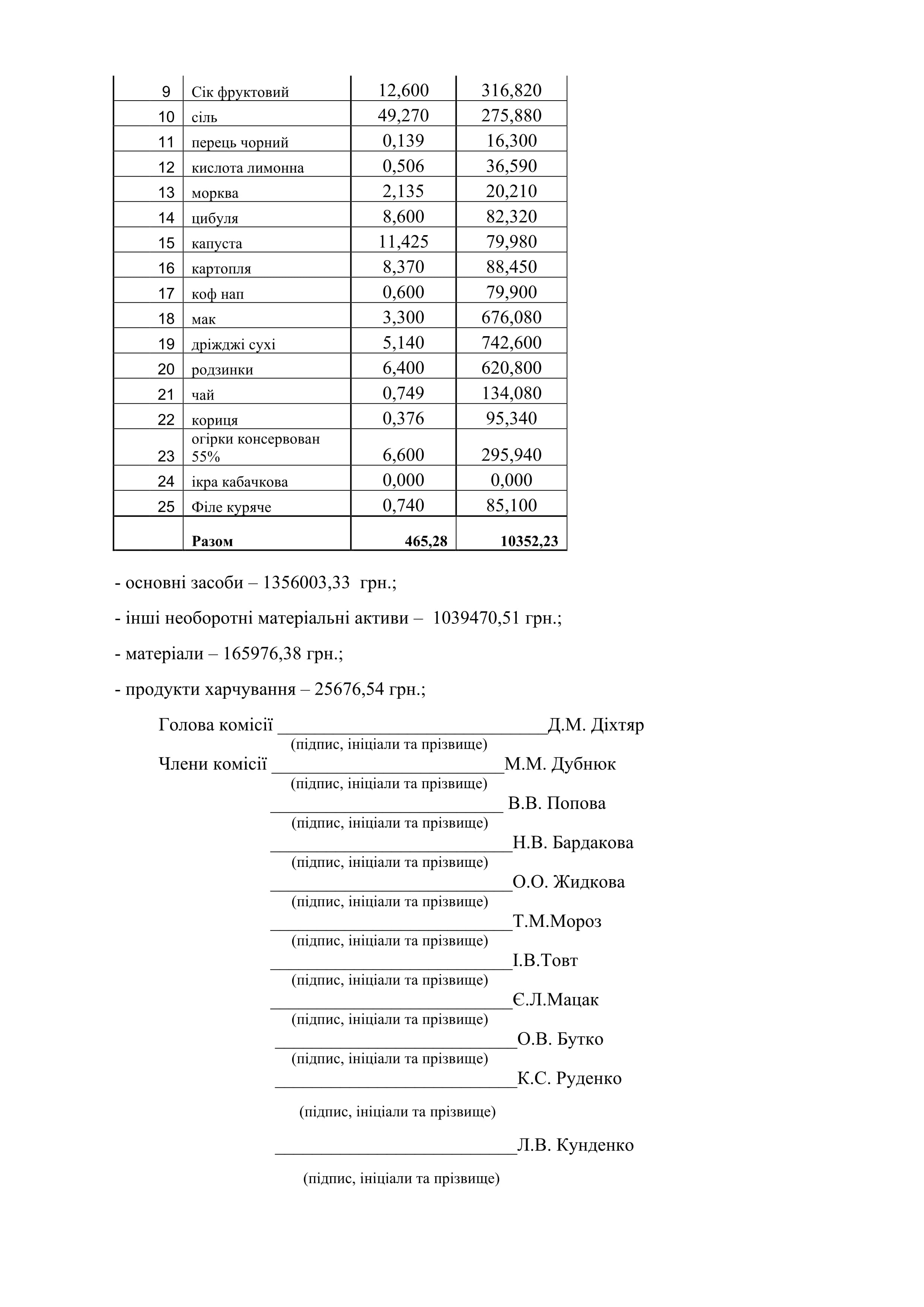
Розшифровка дебіторської та кредиторської заборгованості

Передавальний акт Скрипаївської сільської ради

Передавальний акт Лиманської сільської ради

Передавальний акт Шелудьківської сільської ради