Сторінка 1 із 3

від "21" січня 2021 року
Рішення сесії №125-VIII Про затвердження порядку денного V сесії Слобожанської селищної ради VІIІ скликання.
Відомість голосування до рішення сесії №125-VIII
Текст рішення сесії №125-VIII
Рішення сесії №126-VIII Про затвердження плану роботи Слобожанської селищної ради на 2021 рік.
Відомість голосування до рішення сесії №126-VIII
Текст рішення сесії №126-VIII
Рішення сесії №127-VIII Про затвердження звіту «Про виконання селищного бюджету за 2020 рік».
Відомість голосування до рішення сесії №127-VIII
Текст рішення сесії №127-VIII
Звіт про виконання доходної частини селищного бюджету заЗвіт про виконання доходної частини селищного бюджету за 2020 рік по Слобожанській селищній раді
Звіт про виконання видаткової частини селищного бюджету за 2020 рік
Рішення сесії №128-VIII Про внесення змін до рішення ІІІ сесії Слобожанської селищної ради VІІI скликання від 22.12.2020 року №56 - VІІI «Про селищний бюджет на 2021 рік».
Відомість голосування до рішення сесії №128-VIII
Текст рішення сесії №128-VIII
Супровідна записка до рішення V сесії VIII скликання Слобожанської селищної ради від 21 січня 2021 р. №128 -VIIІ «Про внесення змін до рішення ІІІ сесії VІII скликання Слобожанської селищної ради від 22 грудня 2020 року № 56 - VІII «Про селищний бюджет Слобожанської селищної ради на 2021 рік» та додатків до нього 
Доходи місцевого бюджету на 2021 рік
Фінансування місцевого бюджету на 2021 рік
Розподіл видатків місцевого бюджету на 2021 рік
Міжбюджетні трансферти на 2021 рік
Розподіл витрат місцевого бюджету на реалізацію місцевих/регіональних програм у 2021 році
Ліміти споживання енергоносіїв у натуральних показниках на 2021рік
Рішення сесії №129-VIII Про виплату матеріальної допомоги та винагороди.
Відомість голосування до рішення сесії №129-VIII
Текст рішення сесії №129-VIII
Рішення сесії №130-VIII Про затвердження Актів приймання-передачі майна сільських рад реорганізованих шляхом приєднання до Слобожанської селищної ради Чугуївського району Харківської області.
Відомість голосування до рішення сесії №130-VIII
Текст рішення сесії №130-VIII
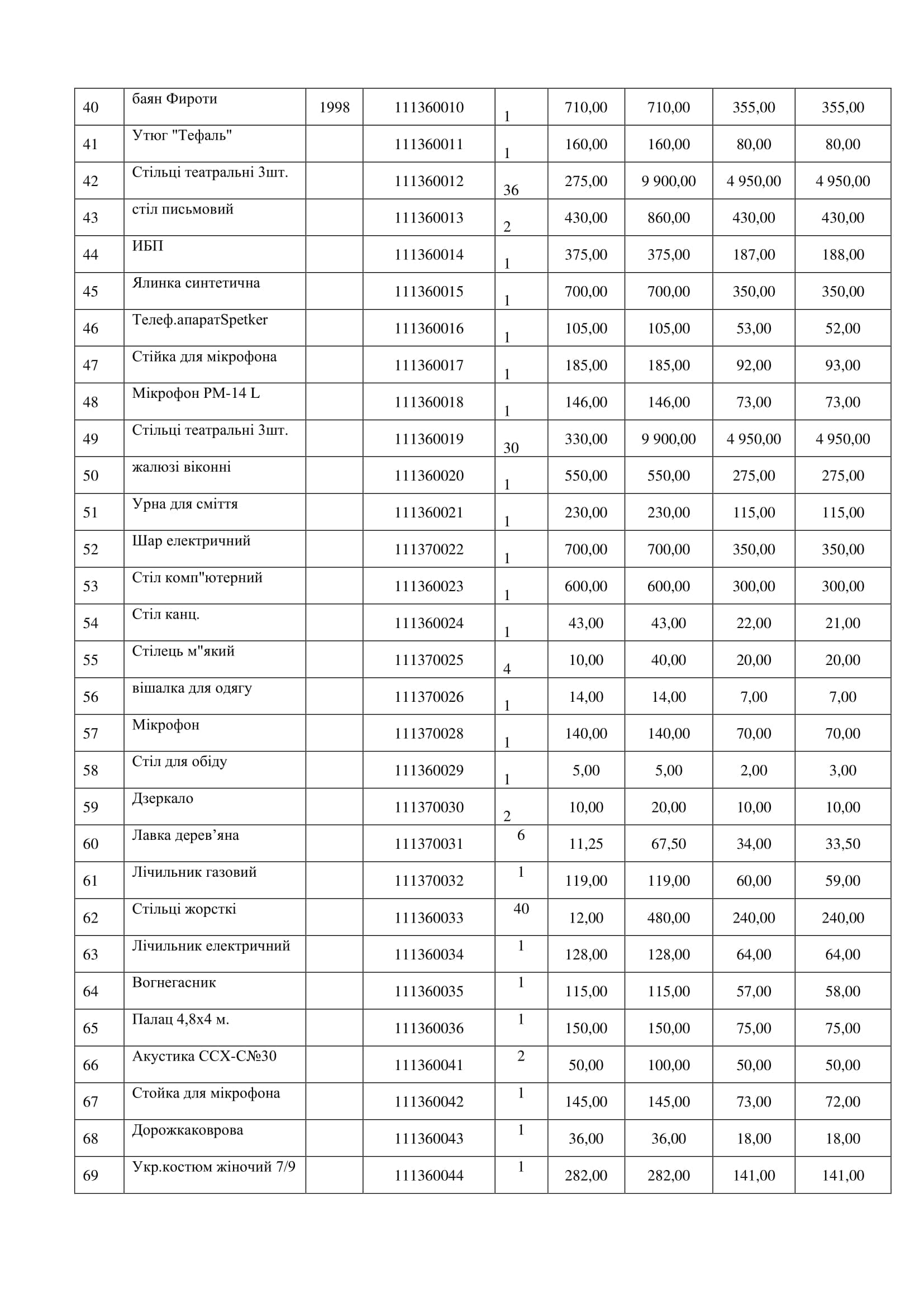
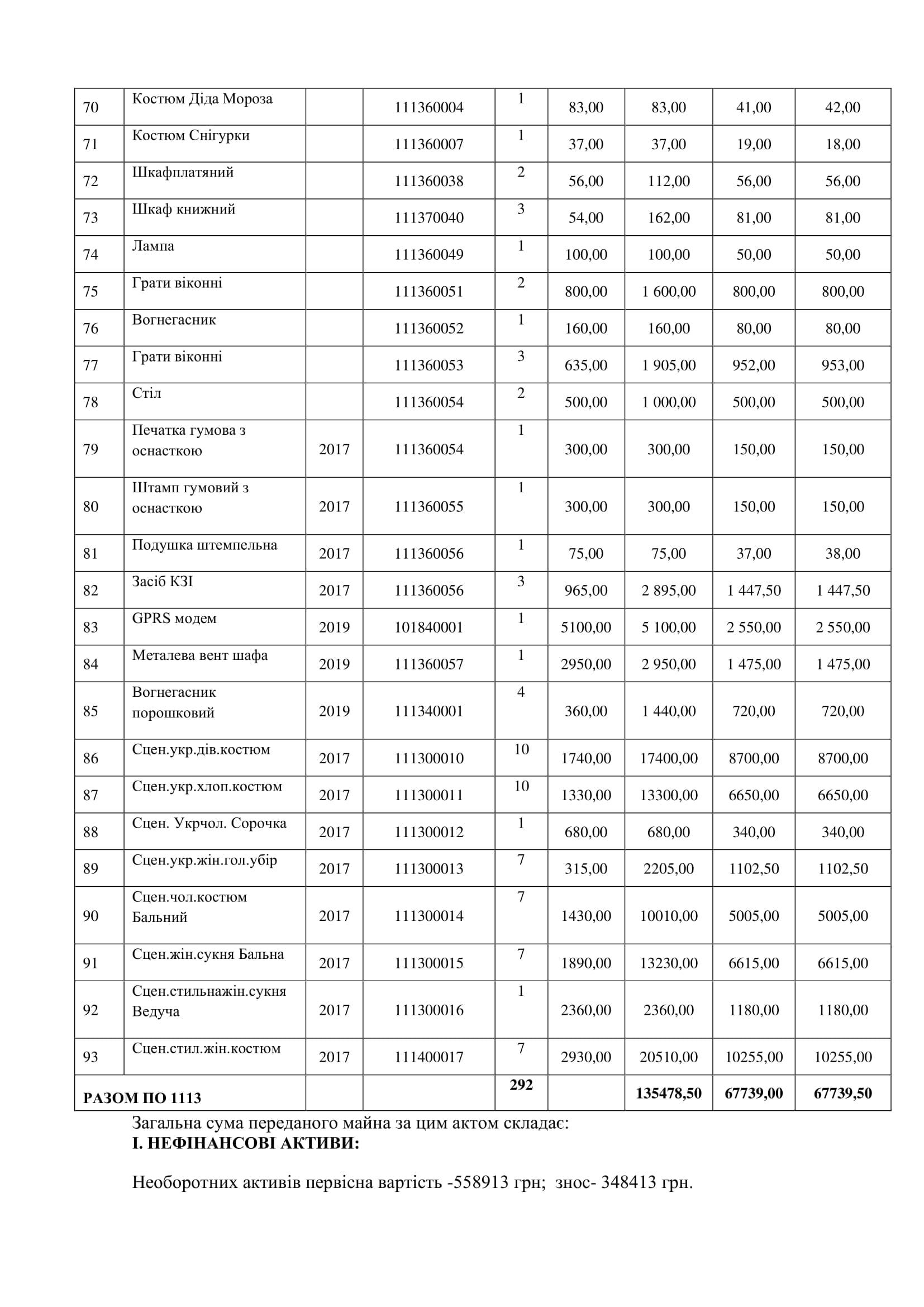
Акт приймання-передачі Геніївський Будинок Культури
Акт приймання-передачі Шелудьківський Будинок Культури
Рішення сесії №131-VIII Про передачу комунального майна Слобожанському відділу освіти.
Відомість голосування до рішення сесії №131-VIII
Текст рішення сесії №131-VIII
Рішення сесії №132-VIII Про передачу комунального майна Слобожанському відділу культури, туризму, молоді та спорту.
Відомість голосування до рішення сесії №132-VIII
Текст рішення сесії №132-VIII
Рішення сесії №133-VIII Про передачу комунального майна КП «Комунальник».
Відомість голосування до рішення сесії №133-VIII
Текст рішення сесії №133-VIII
Рішення сесії №134-VIII Про прийняття комунального майна від ЗДО селища Донець та передачі його Слобожанському відділу освіти.
Відомість голосування до рішення сесії №134-VIII
Текст рішення сесії №134-VIII
Рішення сесії №135-VIII Про встановлення вартості харчування учнів у закладах освіти Слобожанської селищної ради.
Відомість голосування до рішення сесії №135-VIII
Текст рішення сесії №135-VIII