
Питання порядку денного
на засідання виконавчого комітету Слобожанської міської ради
17 листопада 2025 року
Рішення виконавчого комітету №781 Про схвалення проєкту рішення LXХVІІ сесії VIII скликання Слобожанської міської ради «Про внесення змін до рішення LXIII сесії VIII скликання Слобожанської селищної ради від 24 грудня 2024 року №2629-VIII «Про бюджет Слобожанської селищної територіальної громади на 2025 рік» та додатків до нього.
Рішення виконавчого комітету №781
Рішення виконавчого комітету №782 Про схвалення проекту рішення «Про внесення змін та доповнень до Заходів на 2025 рік до Програми розвитку місцевого самоврядування Слобожанської селищної ради на 2021-2025 роки».
Рішення виконавчого комітету №782
Рішення виконавчого комітету №783 Про схвалення проєкту рішення Слобожанської міської ради «Про внесення змін та доповнень до Заходів на 2025 рік до Програми розвитку охорони здоров’я на території Слобожанської селищної ради на 2021 -2025 роки».
Рішення виконавчого комітету №783
Рішення виконавчого комітету №784 Про схвалення проєкту рішення Слобожанської міської ради «Про внесення змін та доповнень до Заходів на 2025 рік до Програми фінансової підтримки комунальних підприємств Слобожанської селищної ради на 2021-2025 роки»
Рішення виконавчого комітету №784
Рішення виконавчого комітету №785 Про схвалення проєкту рішення Слобожанської міської ради «Про внесення змін до Заходів на 2025 рік до Програми підтримки Захисників і Захисниць України та членів їх сімей в Слобожанській селищній територіальній громаді на 2024- 2025 роки».
Рішення виконавчого комітету №785
Рішення виконавчого комітету №786 Про схвалення проекту рішення Слобожанської міської ради «Про внесення змін в Заходи на 2025 рік до Програми соціально – економічного розвитку Слобожанської селищної територіальної громади на 2024 – 2027 роки».
Рішення виконавчого комітету №786
Рішення виконавчого комітету №787 Про схвалення проєкту рішення Слобожанської міської ради «Про внесення змін до Заходів на 2025 рік до місцевої цільової Програми розвитку цивільного захисту Слобожанської селищної ради на 2021-2025 роки».
Рішення виконавчого комітету №787
Рішення виконавчого комітету №788 Про схвалення проєкту рішення Слобожанської міської ради «Про внесення змін до Заходів на 2025 рік до Програми підтримки підрозділів Збройних Сил України, Міністерства внутрішніх справ України, територіальної оборони, добровольчих та інших військових формувань Слобожанської селищної ради Чугуївського району Харківської області на 2023-2025 роки ».
Рішення виконавчого комітету №788
Рішення виконавчого комітету №789 Про схвалення проєкту рішення Слобожанської міської ради «Про внесення змін до Комплексної Програми профілактики правопорушень, злочинності та сприяння діяльності правоохоронних органів на території Слобожанської селищної територіальної громади на 2022-2025рр» .
Рішення виконавчого комітету №789
Рішення виконавчого комітету №790 Про схвалення проєкту рішення Слобожанської міської ради «Про внесення змін та доповнень до Заходів на 2025 рік до Програми енергозбереження та благоустрою територій населених пунктів Слобожанської селищної ради на 2021-2025 роки» .
Рішення виконавчого комітету №790
Рішення виконавчого комітету №791 Про затвердження акту встановлення факту здійснення *** догляду за особою з інвалідністю ІІ групи, яка потребує постійного догляду.
Рішення виконавчого комітету №791
Рішення виконавчого комітету №792 Про затвердження Протоколу про результати Електронного аукціону № LLE001-UA-20251028-29649.
Рішення виконавчого комітету №792
Рішення виконавчого комітету №793 Про припинення дії договору оренди комунального майна у зв’язку зі смертю орендаря.
Рішення виконавчого комітету №793
Рішення виконавчого комітету №794 Про надання житлового приміщення (однокімнатної квартири).
Рішення виконавчого комітету №794
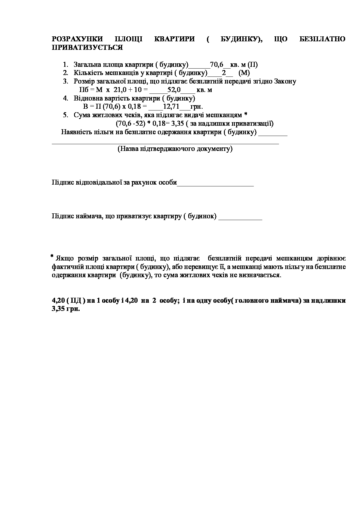
Рішення виконавчого комітету №795 Про передачу квартири у спільну часткову власність.
Рішення виконавчого комітету №795
Рішення виконавчого комітету №796 Про передачу квартири у спільну часткову власність.
Рішення виконавчого комітету №796
Рішення виконавчого комітету №797 Про передачу квартири у спільну часткову власність.
Рішення виконавчого комітету №797
Рішення виконавчого комітету №798 Про взяття на облік внутрішньо переміщених осіб, що потребують житла та надання житлових приміщень з фонду житла для тимчасового проживання внутрішньо переміщеним особам.
Рішення виконавчого комітету №798
Рішення виконавчого комітету №799 Про взяття на облік внутрішньо переміщених осіб, що потребують житла та надання житлових приміщень з фонду житла для тимчасового проживання внутрішньо переміщеним особам.
Рішення виконавчого комітету №799
Рішення виконавчого комітету №800 Про зміну наймача квартири.
Рішення виконавчого комітету №800
Рішення виконавчого комітету №801 Про зміну наймача квартири.
Рішення виконавчого комітету №801
Рішення виконавчого комітету №802 Про зміну наймача квартири.
Рішення виконавчого комітету №802
Рішення виконавчого комітету №803 Про надання статусу дитини, яка постраждала внаслідок воєнних дій та збройних конфліктів, ***.
Рішення виконавчого комітету №803
Рішення виконавчого комітету №804 Про надання статусу дитини, яка постраждала внаслідок воєнних дій та збройних конфліктів, ***.
Рішення виконавчого комітету №804
Рішення виконавчого комітету №805 Про надання статусу дитини, яка постраждала внаслідок воєнних дій та збройних конфліктів, ***.
Рішення виконавчого комітету №805
Рішення виконавчого комітету №806 Про надання статусу дитини, яка постраждала внаслідок воєнних дій та збройних конфліктів, ***.
Рішення виконавчого комітету №806
Рішення виконавчого комітету №807 Про надання статусу дитини, яка постраждала внаслідок воєнних дій та збройних конфліктів, ***.
Рішення виконавчого комітету №807
Рішення виконавчого комітету №808 Про надання статусу дитини, яка постраждала внаслідок воєнних дій та збройних конфліктів, ***.
Рішення виконавчого комітету №808
Рішення виконавчого комітету №809 Про надання статусу дитини, яка постраждала внаслідок воєнних дій та збройних конфліктів, **.
Рішення виконавчого комітету №809
Рішення виконавчого комітету №810 Про надання статусу дитини, яка постраждала внаслідок воєнних дій та збройних конфліктів, ***.
Рішення виконавчого комітету №810
Рішення виконавчого комітету №811 Про надання статусу дитини, яка постраждала внаслідок воєнних дій та збройних конфліктів, ***.
Рішення виконавчого комітету №811
Рішення виконавчого комітету №812 Про надання дозволу на вчинення правочину щодо нерухомого майна укладання та підписання договору дарування житлового будинку та земельної ділянки, де зареєстровані та мають право користування малолітні діти, *** р.н.
Рішення виконавчого комітету №812
Рішення виконавчого комітету №813 Про зміну адреси об’єкту нерухомого майна ***.
Рішення виконавчого комітету №813
Рішення виконавчого комітету №814 Про зміну адреси об’єкту будівництва ***.
Рішення виконавчого комітету №814